М
Молодежь
К
Компьютеры-и-электроника
Д
Дом-и-сад
С
Стиль-и-уход-за-собой
П
Праздники-и-традиции
Т
Транспорт
П
Путешествия
С
Семейная-жизнь
Ф
Философия-и-религия
Б
Без категории
М
Мир-работы
Х
Хобби-и-рукоделие
И
Искусство-и-развлечения
В
Взаимоотношения
З
Здоровье
К
Кулинария-и-гостеприимство
Ф
Финансы-и-бизнес
П
Питомцы-и-животные
О
Образование
О
Образование-и-коммуникации
literaturas
literaturas
12.09.2021 13:58 •  Математика

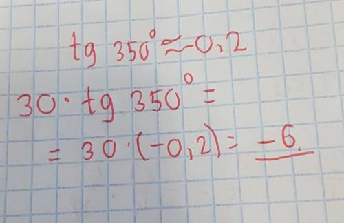
Найдите значение выражения: 30 tg 350градусов

👇
Ответ:
veragusak1994
veragusak1994
12.09.2021


Найдите значение выражения: 30 tg 350градусов
4,7(77 оценок)
Открыть все ответы
Ответ:
Qwiq
Qwiq
12.09.2021

ответ: 5см; 5см; 6см

Пошаговое объяснение:

боковые стороны по х, х>0,  основание 1.2х, полупериметр равен

(х+х+1.2х)/2=1.6х

тогда по Герону площадь равна

√(1.6х*0.6х*0.6х*0.4х)=х²*√(0.6²*0.64)=0.6*0.8*х²=0.48х²;

значит, 0.48х²=12;х²=25, х=5;

тогда стороны 5 см; 5см; 1.2*5=6/см/

в условии опечатка. площадь измеряют в см²

можно и по - другому. найти высоту треугольника. она проведена к основанию. поэтому является медианой,  по теореме Пифагора вычитаем из квадрата боковой стороны квадрат половины основания, т.е. х²-(0.6х)²=0.8²х², тогда площадь 0.5*0.8х*1.2х=12⇒х²=12/0.48=25, тогда стороны 5 см; 5см; 1.2*5=6/см/

4,5(9 оценок)
Ответ:
vvickina
vvickina
12.09.2021

ответ:Во - первых, найдем путь, который проезжает мотоцикл по формуле: S = U * t, где S - путь, U - скорость, а t - время в пути.

Переведем 2 часа 30 минут в часы, это равно 2,5 ч;

Подставим данные:

S = 48 * 2,5 = 120 км - проезжает мотоциклист.

Теперь выразим скорость ( U ) из вышеприведенной формулы:

U = S / t, где U - скорость, S - путь, а t - время в пути.

U = 48 - 18 = 30 км / час - новая скорость мотоциклиста.

Теперь выведем формулу времени ( t ) : t = S / U =>

t = 120 / 30 = 4 часа

ответ: За 4 часа

Пошаговое объяснение:

4,4(57 оценок)
Это интересно:
logo
Вход Регистрация
Что ты хочешь узнать?
Спроси Mozg
Открыть лучший ответ