М
Молодежь
К
Компьютеры-и-электроника
Д
Дом-и-сад
С
Стиль-и-уход-за-собой
П
Праздники-и-традиции
Т
Транспорт
П
Путешествия
С
Семейная-жизнь
Ф
Философия-и-религия
Б
Без категории
М
Мир-работы
Х
Хобби-и-рукоделие
И
Искусство-и-развлечения
В
Взаимоотношения
З
Здоровье
К
Кулинария-и-гостеприимство
Ф
Финансы-и-бизнес
П
Питомцы-и-животные
О
Образование
О
Образование-и-коммуникации
нурислам15
нурислам15
31.12.2020 06:12 •  Математика

Решить тригонометрическое уравнение: 3cos10x+cos5x+2=0

👇
Ответ:
Aнoним01
Aнoним01
31.12.2020

x_{1} = - + \frac{2\pi}{3} + 2\pi \: n \\ x_{2} = - + arccos \frac{1}{3} + 2\pi \: n

n€Z

Пошаговое объяснение:

cos10x=cos(2×5x)=2cos^2(5x)-1 - по формуле косинус двойного аргумента

3×(2cos^2(5x)-1)+cos5x+2=0

6 cos^2(5x)+cos(5x)-1=0 - тригонометрическое квадратное уравнение, замена переменной:

cosx=t, t€[-1;1]

6t^2+t-1=0

t1=(-1/2), t2=(1/3)

обратная замена:

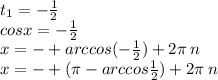
t_{1} = - \frac{1}{2} \\ cosx = - \frac{1}{2} \\ x = - + arccos( - \frac{1}{2}) + 2\pi \: n \\ x = - + (\pi - arccos \frac{1}{2}) + 2\pi \: n

x = - + \frac{2\pi}{3} + 2\pi \: n

t_{2} = \frac{1}{3} \\ cosx = \frac{1}{3} \\ x = - + arccos \frac{1}{3} + 2\pi \: n

4,4(86 оценок)
Открыть все ответы
Ответ:
21rudik21
21rudik21
31.12.2020
Мой проект может показаться совсем простым. Так и есть - для его реализации понадобится всего лишь желание природе и немного времени. Грубо говоря, это будет туристический поход с элементами уборки. Конечно же, под руководством учителей. По желанию могут присоединяться родители, и вообще, все желающие.
Я предлагаю вооружиться прочными прорезиненными рукавицами, пакетами для сбора мусора. Кто не хочет постоянно нагибаться, может соорудить палку со штыком и натыкать мусор на нее. Собранные отходы нам загрузить в машину и утилизировать по всем правилам.
Мой проект называется "Юные лесные санитары". Добавляйте свои идеи, чтобы сделать мероприятие эффективнее и веселее!
4,6(13 оценок)
Ответ:
456778757
456778757
31.12.2020
Мой проект может показаться совсем простым. Так и есть - для его реализации понадобится всего лишь желание природе и немного времени. Грубо говоря, это будет туристический поход с элементами уборки. Конечно же, под руководством учителей. По желанию могут присоединяться родители, и вообще, все желающие.
Я предлагаю вооружиться прочными прорезиненными рукавицами, пакетами для сбора мусора. Кто не хочет постоянно нагибаться, может соорудить палку со штыком и натыкать мусор на нее. Собранные отходы нам загрузить в машину и утилизировать по всем правилам.
Мой проект называется "Юные лесные санитары". Добавляйте свои идеи, чтобы сделать мероприятие эффективнее и веселее!
4,5(63 оценок)
Это интересно:
Новые ответы от MOGZ: Математика
logo
Вход Регистрация
Что ты хочешь узнать?
Спроси Mozg
Открыть лучший ответ