М
Молодежь
К
Компьютеры-и-электроника
Д
Дом-и-сад
С
Стиль-и-уход-за-собой
П
Праздники-и-традиции
Т
Транспорт
П
Путешествия
С
Семейная-жизнь
Ф
Философия-и-религия
Б
Без категории
М
Мир-работы
Х
Хобби-и-рукоделие
И
Искусство-и-развлечения
В
Взаимоотношения
З
Здоровье
К
Кулинария-и-гостеприимство
Ф
Финансы-и-бизнес
П
Питомцы-и-животные
О
Образование
О
Образование-и-коммуникации
oipoop54
oipoop54
25.02.2022 02:09 •  Математика

Решите уравнение
Тема: Пропорции
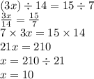
(3*X):14=15:7

👇
Ответ:
andreevochir20
andreevochir20
25.02.2022

(3x) \div 14 = 15 \div 7 \\ \frac{3x}{14} = \frac{15}{7} \\ 7 \times 3x =15 \times 14 \\ 21x = 210 \\ x = 210 \div 21 \\ x = 10

4,6(23 оценок)
Открыть все ответы
Ответ:
loloshovich83
loloshovich83
25.02.2022
Отделочный кант представляет собой сложенную пополам по ширине косую полоску отделочного материала. ее вкладывают между двумя деталями. ширина канта может составлять 2-3 мм. он применяется как отделка при изготовлении сумок и других изделий. кант с продернутым шнуром нужно предварительно тщательно наметать, тогда шнур будет ровно лежать в сгибе косой полоски. верхний край настрачивают узкой строчкой так, чтобы ширина канта со шнуром была не более 2-3 мм. края канта можно предварительно ста ча ть. чтобы приготовить косые полосы для канта, у прямоугольного отрезка ткани отгибают один угол так, чтобы получился равносторонний треугольник. этот треугольник отрезают по линии сгиба, которая в дальнейшем служит направлением для нарезки. для того чтобы ширина была одинаковой, ее измеряют линейкой или заранее заготовленным трафаретом. косые полосы можно вырезать из остатков ткани. для получения полосы требуемой длины нужно стачать отдельные полосы, складывая их лицевыми сторонами. после стачивания швы разутюживают. несмотря на то, что полосы имеют косое направление, эти швы едва заметны, так как они идут по прямой нити. полосы стачивают, не отрывая нитки, а после разрезают. косые полосы ткани имеют большое значение при пошиве различных изделий. они легко принимают любую форму, поэтому их широко применяют при подшивке или окантовке краев, особенно косых.
4,8(10 оценок)
Ответ:
Aza3lo
Aza3lo
25.02.2022
Якак раз это делаю сейчас так народные сказки 3 поросёнка волк поступил несправедливо он разрушил домики поросят и хотел их съесть, а он мог попросить у них поесть, а не разрушать их дома. волк и 7 козлят волк притворился мамой козлят и знал что они ему откроют, он знал что ими можно насытиться. они маленькие и нельзя было из кушать. он мог попросить у мамы козы поесть. золушка мачеха не пустила золушку на , своих дочерей пустил, а золушку нет. мачеха заставляла золушку работать, а сама не работала и её дочери тоже не работали ещё 2. сейчас подумаем теремок медведь поступил плохо. он знал что такой большой как он раздавить теремок и еще он не подумал о том, что может раздавить жителей теремка. заюшкина избушка лиса построила себе ледяной дом, зная что когда придёт весна он настаёт. она выгнала зайчика из его дома и жила там пока её петух не выгнал
4,8(5 оценок)
Новые ответы от MOGZ: Математика
logo
Вход Регистрация
Что ты хочешь узнать?
Спроси Mozg
Открыть лучший ответ