М
Молодежь
К
Компьютеры-и-электроника
Д
Дом-и-сад
С
Стиль-и-уход-за-собой
П
Праздники-и-традиции
Т
Транспорт
П
Путешествия
С
Семейная-жизнь
Ф
Философия-и-религия
Б
Без категории
М
Мир-работы
Х
Хобби-и-рукоделие
И
Искусство-и-развлечения
В
Взаимоотношения
З
Здоровье
К
Кулинария-и-гостеприимство
Ф
Финансы-и-бизнес
П
Питомцы-и-животные
О
Образование
О
Образование-и-коммуникации

Первый и второй член геометрической прогрессии соответствует равны 64 и 32 вычислитт сумму первых шести ее членов

👇
Ответ:
Киря0001
Киря0001
28.03.2023

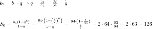
b_1=64,\;b_2=32\\S_6=?

b_2=b_1\cdot q\Rightarrow q=\frac{b_2}{b_1}=\frac{32}{64}=\frac12\\\\\\S_6=\frac{b_1(1-q^5)}{1-q}=\frac{64\cdot\left(1-\left(\frac12\right)^6\right)}{1-\frac12}=\frac{64\cdot\left(1-\frac1{64}\right)}{\frac12}=2\cdot64\cdot\frac{63}{64}=2\cdot63=126

4,4(100 оценок)
Открыть все ответы
Ответ:
Nurbakyt2103
Nurbakyt2103
28.03.2023
Каждый сыграл 4 партии белыми, 4 партии черными, всего 8 партий. Умножаем на число участников и делим на 2, так как каждая партия подсчитывалась в результате дважды. Получаем всего 20 партий, в которых было разыграно 40 очков. Руслан, Люба и Вова сыграли между собой 6 партий (подсчитали аналогично: каждый сыграл 4 партии, умножаем на 3 и делим на 2), в которых разыграли 12 очков. Поэтому 12 - это минимальное количество , заработанных ими. А тогда у Игоря как минимум а у Оли - как минимум в сумме 12+13+14=39. Если бы тройка аутсайдеров заработала на очко больше, то минимальные количества очков были 13, 14, 15, что  в сумме больше 40. Значит, аутсайдеры (как они сыграли между собой, никого не волнует), проиграли все партии Игорю и Оле. Если бы Игорь заработал на очко больше, то снова получился бы перебор: 12, 14, 15, в сумме 41. Значит, на очко больше заработала Оля. Получили 12 очков в сумме у аутсайдеров, 13 очков у Игоря, 15 у Оли.  
Подсчитываем окончательно: у аутсайдеров суммарно 12 очков, заработанных во встречах между собой. Игорь выиграл обе встречи у каждого из трех аутсайдеров, заработав 12 очков, и отобрал одно очко у Оли, сыграв один раз с ней вничью и один раз проиграв - всего 13 очков. Оля выиграла у всех аутсайдеров - 12 очков, и заработала 3 очка в партиях с Игорем, сыграв один раз вничью и один раз выиграв - всего 15 очков.
ответ:  15 очков
Подробнее - на -
4,6(7 оценок)
Ответ:
nosalyaik
nosalyaik
28.03.2023
Задача простая, часто её называют задача от Льва Толстого.
Чтобы разобраться на сколько обманули продавца надо отбросить то что касается размена денег т.е. продавец взял у соседки 25 рублей взамен фальшивых, а потом отдал 25 рублей, получается что в обмене денег он ничего не потерял и ничего не выиграл (взял 25 рублей и отдал те же 25 рублей).
Реально он потерял шапку которая стоит 15 рублей и сдачу (10 рублей) которую он отдал покупателю, значит он потерял 15+10=25 рублей
ответ: на 25 рублей обманули продавца.
4,5(84 оценок)
Это интересно:
Новые ответы от MOGZ: Математика
logo
Вход Регистрация
Что ты хочешь узнать?
Спроси Mozg
Открыть лучший ответ