М
Молодежь
К
Компьютеры-и-электроника
Д
Дом-и-сад
С
Стиль-и-уход-за-собой
П
Праздники-и-традиции
Т
Транспорт
П
Путешествия
С
Семейная-жизнь
Ф
Философия-и-религия
Б
Без категории
М
Мир-работы
Х
Хобби-и-рукоделие
И
Искусство-и-развлечения
В
Взаимоотношения
З
Здоровье
К
Кулинария-и-гостеприимство
Ф
Финансы-и-бизнес
П
Питомцы-и-животные
О
Образование
О
Образование-и-коммуникации
texet1024
texet1024
20.08.2020 23:21 •  Математика

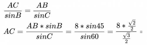
В треугольнике АВС сторона АВ = 8 см, <С=600, <В = 45°. Найдите сторону АС

👇
Ответ:
лиана247
лиана247
20.08.2020

ответ: Решение прикреплено к фото )


В треугольнике АВС сторона АВ = 8 см, <С=600, <В = 45°. Найдите сторону АС
4,4(57 оценок)
Открыть все ответы
Ответ:
Angelina626
Angelina626
20.08.2020
ПЕРВАЯ ЗАДАЧА: первый вариант: 1)5×40=200(кг)- риса; 2)5×35=175(кг)- пшена; 3) 200-120=80(кг)- риса ост.продать; 4) 175-140=35(кг)- пшена ост.продать; 5)80+35=115(кг)- крупы ост.прлдать. второй вариант: 1) (5×40-120)+(5×35-140)=115(кг)- крупы ост.продать. ВТОРАЯ ЗАДАЧА: первый вариант: 1)70×5=350(л)- за 5 дней; 2)80×5=400(л)- за 5 дней; 3)350+400=750(л)- за 10 дней; 4)70×6=420(л)- за 6 дней; 5)80×6=480(л)- за 6 дней; 6)420+480=900(л)- за 12 дней. второй вариант: 1)(70+80)×5=750(л)- за 10 дней; 2)(70+80)×6=900(л)- за 12 дней.
4,6(7 оценок)
Ответ:
КсенияА2006
КсенияА2006
20.08.2020

Привезли - 5 м риса,по 40кг и 7 м пшена,по 35кг

Продали - 130кг риса и 140кг пшена

Осталось продать - ?кг

1) 5·40=200 (кг) - риса привезли.

2) 7·35=245 (кг) - пшена привезли.

3) 200-130=70 (кг)- риса осталось продать.

4) 245-140=105 (кг) - пшена осталось продать.

5) 70+105=175 (кг) - крупы осталось продать.

1) 5·40=200 (кг) - риса привезли.

2) 7·35=245 (кг) - пшена привезли.

3) 200+245=445 (кг) - крупы привезли.

4) 130+140=270 (кг) - крупы продали.

5) 445-270=175 (кг) - крупы осталось продать.

5·40+7·35-130+140=175 (кг)

ответ: 175 кг крупы осталось продать.

4,4(8 оценок)
Новые ответы от MOGZ: Математика
logo
Вход Регистрация
Что ты хочешь узнать?
Спроси Mozg
Открыть лучший ответ