М
Молодежь
К
Компьютеры-и-электроника
Д
Дом-и-сад
С
Стиль-и-уход-за-собой
П
Праздники-и-традиции
Т
Транспорт
П
Путешествия
С
Семейная-жизнь
Ф
Философия-и-религия
Б
Без категории
М
Мир-работы
Х
Хобби-и-рукоделие
И
Искусство-и-развлечения
В
Взаимоотношения
З
Здоровье
К
Кулинария-и-гостеприимство
Ф
Финансы-и-бизнес
П
Питомцы-и-животные
О
Образование
О
Образование-и-коммуникации
1lёn1
1lёn1
30.01.2021 13:02 •  Математика

Квадратные неравенства
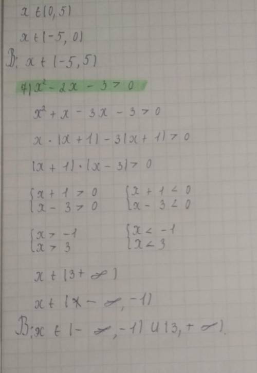
Только 2 вариант.

👇
Ответ:
анна2248
анна2248
30.01.2021

Пошаговое объяснение:

Вот все упражнения


Квадратные неравенства Только 2 вариант.
Квадратные неравенства Только 2 вариант.
Квадратные неравенства Только 2 вариант.
4,4(76 оценок)
Открыть все ответы
Ответ:
katetolstoshev2
katetolstoshev2
30.01.2021
                               №899
Мама съела 3/15 части арбуза.
Папа съел 6/15 части арбуза.
Ваня съел 4/15 части арбуза.
                              №903
Для выпеч. яблочного пирога мама потрат. 5/12 части яиц.
Для выпеч. вишнёвого пирога мама потрат. 3/12 части яиц.
Не использ. яиц осталось 12-5-3=4 яйца, то есть 4/12 части.
Часть яиц использ. для выпеч. яблоч. пирога больше чем та которая осталась.
                             №915
21га=210000м 2
1) 210000:250=840(м)-длина парка.
2) Р=2*(840+250)=2180(м)
Отв.: Р парка =2180 м
4,5(96 оценок)
Ответ:
Anchoys777
Anchoys777
30.01.2021
1) х * 10 = 40                 3) 300* z =810 + 90
х = 40:10                              z = 900 : 300
х = 4                                      z= 3 
проверка:                              проверка:
 4 * 10 = 40                            300* 3 = 810 + 90
2) у * 3 = 300                                900= 900
у = 300:3                         4) х : 400 = 20 : 10    проверка:
у = 100                                 х = 2 * 400             800:400= 20 : 10
проверка:                            х = 800                          2 = 2
100 * 3 =300                          
4,4(52 оценок)
Новые ответы от MOGZ: Математика
logo
Вход Регистрация
Что ты хочешь узнать?
Спроси Mozg
Открыть лучший ответ