М
Молодежь
К
Компьютеры-и-электроника
Д
Дом-и-сад
С
Стиль-и-уход-за-собой
П
Праздники-и-традиции
Т
Транспорт
П
Путешествия
С
Семейная-жизнь
Ф
Философия-и-религия
Б
Без категории
М
Мир-работы
Х
Хобби-и-рукоделие
И
Искусство-и-развлечения
В
Взаимоотношения
З
Здоровье
К
Кулинария-и-гостеприимство
Ф
Финансы-и-бизнес
П
Питомцы-и-животные
О
Образование
О
Образование-и-коммуникации
Варя1001005
Варя1001005
25.03.2021 04:40 •  Математика

Решите уровнение зарание (5,6: 2 целых 4/5+1целая 3/20): (2,8+0,35)

👇
Ответ:
AntonBobko
AntonBobko
25.03.2021

это не уравнение, а числовое выражение, вычисляем: 5.6/2.8=2, 2+1.15=3.15, 3.15/3.15 =1 -ответ

4,4(32 оценок)
Ответ:
Kirillsharko
Kirillsharko
25.03.2021

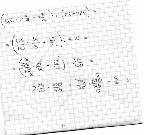
Решение на фото

Пошаговое объяснение:


Решите уровнение зарание (5,6: 2 целых 4/5+1целая 3/20): (2,8+0,35)
4,8(23 оценок)
Открыть все ответы
Ответ:
pichtook1
pichtook1
25.03.2021
никакой! никакой эстетической и нравственной ценности музеи для зрителей 21 века не представляют. поскольку сами понятия "эстетики" и "нравственности" в 21 век похоже не оставшись в времени. и представляют собой ныне архаизмы, полузабытые термины, означающие нечто аморфное и смутное, как коммунистические атрибуты, скажем, Мавзолей и "Аврора", для поколения пепси - вроде и слышали, вроде и знают, а эмоций не вызывает и дрожи в коленках не испытывают.. . О времена! о Нравы! и остался музеям один удел: развлекательных заведений. но когда-нибудь человечество отойдет от техногенного и информационного марафона и вернется к былым ценностям - гуманизма и духовности. если конечно до этого момента мы все друг друга не перемочим. что по большому счету, в масштабах планеты, в принципе, тоже неплохо)))
4,8(26 оценок)
Ответ:
Оленка124683
Оленка124683
25.03.2021

Жидкость - это материальная среда (вещество), обладающая свойством текучести, т.е неограниченно деформироваться под

действием приложенных сил. Данное свойство обусловлено диффузией

молекул, благодаря чему жидкость не имеет собственной формы и принимает форму того сосуда, в котором она находится.

Жидкости подразделяют на две группы: капельные - практически не

сжимаемые и газообразные - легко сжимаемые. Газообразные жидкости, в

отличие от капельных, не имеют свободной поверхности - поверхности

раздела между жидкостью и газообразной средой.

Для упрощения рассматриваемых явлений и вывода ряда законов.

4,4(71 оценок)
Это интересно:
Новые ответы от MOGZ: Математика
logo
Вход Регистрация
Что ты хочешь узнать?
Спроси Mozg
Открыть лучший ответ