М
Молодежь
К
Компьютеры-и-электроника
Д
Дом-и-сад
С
Стиль-и-уход-за-собой
П
Праздники-и-традиции
Т
Транспорт
П
Путешествия
С
Семейная-жизнь
Ф
Философия-и-религия
Б
Без категории
М
Мир-работы
Х
Хобби-и-рукоделие
И
Искусство-и-развлечения
В
Взаимоотношения
З
Здоровье
К
Кулинария-и-гостеприимство
Ф
Финансы-и-бизнес
П
Питомцы-и-животные
О
Образование
О
Образование-и-коммуникации
Sofa22Bas
Sofa22Bas
10.08.2021 19:41 •  Математика

берем!Өтінем көмектесіңіздер​

👇
Ответ:
Адил555
Адил555
10.08.2021
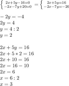
y=2    x=3

Пошаговое объяснение:

\left \{ {{2x+5y-16=0} \atop {-2x-7y+20=0}} \right.=\left \{ {{2x+5y=16} \atop {-2x-7y=-20}} \right. \\\\ -2y=-4\\2y=4\\y=4:2\\y=2\\\\2x+5y=16\\2x+5*2=16\\2x+10=16\\2x=16-10\\2x=6\\x=6:2\\x=3

4,4(54 оценок)
Открыть все ответы
Ответ:
ArtemD98
ArtemD98
10.08.2021
Задача № 1
1) переведем м в км: 41 км=41000 м
2) На сколько метров длина береговой линии Нарочи больше его глубины (чтобы посчитать "НА СКОЛЬКО" - необходимо выполнить действие вычитание):
41000-24=40976 (м)
ответ: длина береговой линии Нарочи  больше его глубины на 40976 метров.

Задача №2
Условия задачи: Площадь полей равна 500 га. Кукуруза занимает 1/5 часть площади этих полей , а свёкла - 1/10. Какая площадь полей не засеяна?
1) 500*1/5=100 (га) - занимает кукуруза.
2) 500*1/10=50 (га) - занимает свекла.
3) 100+50=150 (га) - засеяны кукурузой и свеклой.
4) 500-150=350 (га) - не засеяна.
ответ: 350 гектар не засеяны ничем.
4,4(83 оценок)
Ответ:
boginyanatasha
boginyanatasha
10.08.2021
График функции у=1/х^2 это двухсторонняя гипербола, симметричная положительной полуоси у.
Находим пределы аргумента по заданным пределам функции.
у=1/х^2.
х = 1/+-√у.
х₁ = 1/√1 = 1.
х₂ = 1/(-√1) = -1
х₃ = 1/√4 = 0,5
х₄ = 1/(-√4) = -0,5.

В промежутке между х=-0,5 и х = 0,5, ограниченном линиями у=1 и у=4 функция представляет собой прямоугольник размером 1 на 3, S = 3.

Площадь криволинейного участка состоит из двух одинаковых площадей.
Достаточно найти одну из них и умножить на 2.

S = ∫₀.₅¹(1/x²)dx = (-1/x)|₀.₅¹ = -1/1 -(-1/0.5) = -1 + 2 = 1.

ответ: площадь функции,ограниченную линиями: у=1/х^2, у=1, у=4 равна S = 3 + 2*1 = 5.
4,4(4 оценок)
Это интересно:
Новые ответы от MOGZ: Математика
logo
Вход Регистрация
Что ты хочешь узнать?
Спроси Mozg
Открыть лучший ответ