М
Молодежь
К
Компьютеры-и-электроника
Д
Дом-и-сад
С
Стиль-и-уход-за-собой
П
Праздники-и-традиции
Т
Транспорт
П
Путешествия
С
Семейная-жизнь
Ф
Философия-и-религия
Б
Без категории
М
Мир-работы
Х
Хобби-и-рукоделие
И
Искусство-и-развлечения
В
Взаимоотношения
З
Здоровье
К
Кулинария-и-гостеприимство
Ф
Финансы-и-бизнес
П
Питомцы-и-животные
О
Образование
О
Образование-и-коммуникации
FlaNNkY
FlaNNkY
05.09.2021 01:34 •  Математика

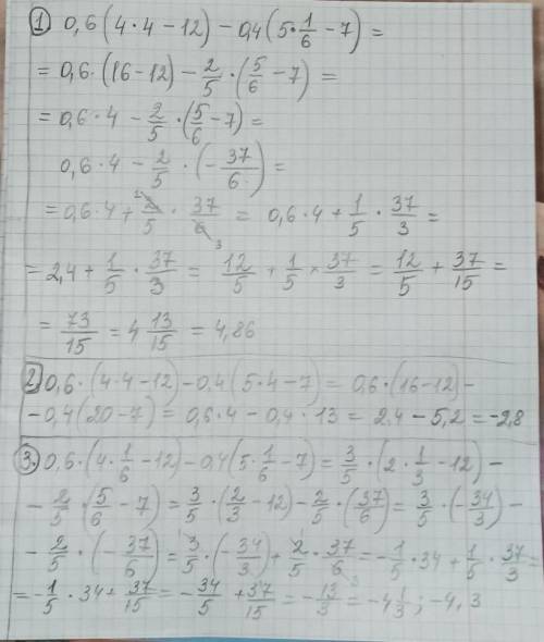
Знайти значення виразу 0,6(4х-12)-0,4(5х-7),при х=4 1/6

👇
Ответ:
evelinastepenko
evelinastepenko
05.09.2021

Даю три варианта ответа

1. это при х = 4 1/6

2. это только при х = 4

3. это только при х = 1/6

Выберите то, что вам нужно.)


Знайти значення виразу 0,6(4х-12)-0,4(5х-7),при х=4 1/6
4,4(61 оценок)
Открыть все ответы
Ответ:
salavatshakiro
salavatshakiro
05.09.2021
Пусть объем бассейна будет S, скорость наполнения первой и второй трубы v₁ и v₂ соответственно. Тогда:
S / v₁ = 50;
S / (v₁ + v₂) = 20;
Из первого уравнения выразим S: S = 50 * v₁.
Из второго ур-ния выразим v₂:
S / (v₁ + v₂) = 20;
v₁+v₂ = S / 20;
v₂ = S / 20 - v₁;
Заменим S на 50 * v₁:
v₂ = 50 * v₁ / 20 - v₁;
Упростим: v₂ = 3 * v₁ / 2;
Время наполнения второй трубой будет равна S / v₂. Заменим v₂ на 3 * v₁ / 2.
S / v₂ = 2S / (3v₁);
S / v₂ = 2 / 3 * S / v₁.
Заменим S / v₁ на 50:
S / v₂ = 2 / 3 * 50
S / v₂ = 33,(3) (с) наполниться бассейн
Бассейн не успеет наполниться за 33 минуты
4,8(49 оценок)
Ответ:
zenalubimova
zenalubimova
05.09.2021
Пусть объем бассейна будет S, скорость наполнения первой и второй трубы v₁ и v₂ соответственно. Тогда:
S / v₁ = 50;
S / (v₁ + v₂) = 20;
Из первого уравнения выразим S: S = 50 * v₁.
Из второго ур-ния выразим v₂:
S / (v₁ + v₂) = 20;
v₁+v₂ = S / 20;
v₂ = S / 20 - v₁;
Заменим S на 50 * v₁:
v₂ = 50 * v₁ / 20 - v₁;
Упростим: v₂ = 3 * v₁ / 2;
Время наполнения второй трубой будет равна S / v₂. Заменим v₂ на 3 * v₁ / 2.
S / v₂ = 2S / (3v₁);
S / v₂ = 2 / 3 * S / v₁.
Заменим S / v₁ на 50:
S / v₂ = 2 / 3 * 50
S / v₂ = 33,(3) (с) наполниться бассейн
Бассейн не успеет наполниться за 33 минуты
4,4(95 оценок)
Новые ответы от MOGZ: Математика
logo
Вход Регистрация
Что ты хочешь узнать?
Спроси Mozg
Открыть лучший ответ