М
Молодежь
К
Компьютеры-и-электроника
Д
Дом-и-сад
С
Стиль-и-уход-за-собой
П
Праздники-и-традиции
Т
Транспорт
П
Путешествия
С
Семейная-жизнь
Ф
Философия-и-религия
Б
Без категории
М
Мир-работы
Х
Хобби-и-рукоделие
И
Искусство-и-развлечения
В
Взаимоотношения
З
Здоровье
К
Кулинария-и-гостеприимство
Ф
Финансы-и-бизнес
П
Питомцы-и-животные
О
Образование
О
Образование-и-коммуникации
ДЖАН4848548
ДЖАН4848548
09.09.2020 14:06 •  Математика

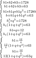
Произведение первых трех членов геометрической прогрессии равна 1728, а их сумма чисел равна 63. найдите b1 и q

👇
Ответ:
eminka1
eminka1
09.09.2020

Пошаговое объяснение:

\left \{ {{b1*b2*b3=1728} \atop {b1+b2+b3=63}} \right. \\\left \{ {{b1*b1q*b1q^{2}=1728 b} \atop {b+b1q+b1q^{2}=63 }} \right. \\\left \{ {{b_{1}^3*q^{3}=1728 } \atop {b_{1}(1+q+q^{2}) =63}} \right. \\\left \{ {{b1*q=12} \atop {b_{1}(1+q+q^{2}) =63}} \right. \\\left \{ {{b1=\frac{12}{q} } \atop {\frac{12}{q} (1+q+q^{2}) =63}} \right. \\\left \{ {{b1=\frac{12}{q} } \atop {12(1+q+q^{2})=63q}} \right.

\left \{ {{b1=\frac{12}{q} } \atop {1+q+q^{2}=5.25q }} \right. \\\left \{ {{b1=\frac{12}{q}} \atop {q^2-4.25q+1=0}} \right. \\\\q^2-4.25q+1=0

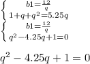
D=(-4.5)^2-4*1*1=18.0625-4=14.0625\\\sqrt{D} =3.75\\q1=\frac{4.5+3.75}{2} =4\\q2=\frac{4.5-3.75}{2} =0.25\\b1=\frac{12}{q1} =12:4=3\\b2=12:q2=12:0.25=48

4,4(1 оценок)
Открыть все ответы
Ответ:
Саша77777777
Саша77777777
09.09.2020
К бассейну Атлантического океа­на относятся преимущественно европейские реки, водный режим которых неодинаковый в разных регионах. Например, на равнинах Средней Европы многие реки пол­новодны в течение всего года. В отличие от них, реки Южной Европы имеют бурное течение в холодный период года, а летом кое-где и вовсе пересыхают. В питании рек Восточной Европы большую роль играют талые сне­говые воды. Половодье бывает весной, а летом уровень воды значительно снижается. В зимний период большинство рек, как, на­пример, Дунай и Днепр, замерзает.
4,4(43 оценок)
Ответ:
Beckonechnost
Beckonechnost
09.09.2020
Человек смотрит на мир через призму своего воспитания, образования, жизненного опыта. Каждый воспринимает мир по-своему, в зависимости от характера, интересов, личных ценностей.
В детстве вся жизнь состоит из познания. Ребенок - всегда «почемучка», ему интересно все. Но если он хочет что-то узнать, то спрашивает у родителей, бабушек, дедушек, исследуя мир ощущениями. Взрослые же обращаются к справочникам, они воспринимают информацию как сухие и точные определения и законы. Представьте, если ребенок каждый раз заглядывал бы в толковый словарь, когда хотел узнать значение слова. Ведь есть такие понятия, которые можно осознать, только пережив, например, любовь, дружба.
В самом раннем возрасте, если ребенку объяснять, что такое стол, приводя его толкование из Ожегова или Даля, а не показывая этот предмет, он не поймет суть этого слова. В детстве формируется образное мышление. Когда люди вырастают, они начинают мыслить научно. Но если кому-то удастся сохранить детскую непосредственность, на мой взгляд, заключающуюся в особом восприятии происходящего, он сможет видеть этот мир, воспринимать его более полно, ведь в его распоряжении будут и факты, и образы. Именно такой человек и может значительно изменить мир, впитав в себя все его многообразие, слившись с жизнью. Как писал Антуан де Сент-Экзюпери: «Зорко одно лишь сердце. Самого главного глазами не увидишь».

Но мир меняется, как и наше восприятие понятий. В творчестве Александра Сергеевича Пушкина мы видим такое движение, изменение во всем. Меняется восприятие свободы. Вначале он придерживался романтического образа свободы – понятия ее как категории внешней, но позднее осознал как внутреннее качество, что можно увидеть, сравнив, например, послание «К Чаадаеву»:
Товарищ, верь: взойдет она,
Звезда пленительного счастья…
(где свобода показана в виде далекого, недосягаемого, манящего светила), и более позднюю лирику, например, стихотворение «Анчар»:
Но человека человек 
Послал к анчару властным взглядом:
И тот послушно в путь потек
И к утру возвратился с ядом…
в котором человек, не будучи изначально рабом, но, не имея внутренней свободы, превратился в него. В своей поздней лирике А. С. Пушкин говорит, что не предмет определяет понимать, а сам человек. Это же подтверждает отрывок стихотворения «Из Пиндемонти»:
Зависеть от царя?
Зависеть от народа?

Бог с ними…
Себе лишь одному служить и угождать…
Вот счастье, вот права…
Это и есть духовная свобода. А когда ты самостоятельно осознаешь, переживаешь какое-то событие, какую-то мысль в своем сердце, это и есть подлинное открытие, настоящее познание. Ведь мысль не существует сама по себе.

Но процесс познания бесконечен. Чем больше мы открываем для себя, тем больше проблем остаются нерешенными. В произведении Гете «Фауст» главный герой, будучи человеком мыслящим, понимает это:
Я философию постиг, 
Я стал юристом, стал врачом...
Увы! с усердьем и трудом
И в богословье я проник, -
И не умней я стал в конце концов,
Чем прежде был... Глупец я из глупцов!
Доктор считал, что достиг всего, чего мог, узнал все в своей жизни, потому и заключил сделку с Мефистофелем, но изменился и увидел то, что заставило его воскликнуть:
Мгновенье!
Прекрасно ты, продлись, постой!
Так даже доктор Фауст доказывает неотвратимое изменение в понимании человеком мира с течением времени.
А всё, доступное познанию, Платон делит на два рода: постигаемое ощущением и познаваемое умом, иными словами аналитический и интуитивный (мифологический) путь. Евгений Абрамович Баратынский писал о дисгармонии в постижении мира, если человек придерживается только одного из познания. За интуитивное знание отвечают искусство, философия, религия. Вся деятельность Е. А. Баратынского связана с ощущением, что цивилизация утратила практику мифологии. Люди стремятся постичь истину, но человек, полностью познавший мир, не видит иллюзий, не видит счастья. Необходимо вдуматься, вчувствоваться в судьбу, чтобы все получилось. А из-за утраты вслушиваться, люди останутся в пустой безответной вселенной, и невозможно уже будет понять и изменить мир.

Мой сегодняшний мир – это Физико-математический лицей №239! Это уникальная школа. Здесь собрались умные, интересные, позитивные и открытые дети и учителя. Преподаватели своим доброжелательным отношением вызывают у нас желание активно-познавательной деятельности. Дружелюбные отношения в ФМЛ существуют как между ровесниками, так и между
4,6(95 оценок)
Это интересно:
Новые ответы от MOGZ: Математика
logo
Вход Регистрация
Что ты хочешь узнать?
Спроси Mozg
Открыть лучший ответ