М
Молодежь
К
Компьютеры-и-электроника
Д
Дом-и-сад
С
Стиль-и-уход-за-собой
П
Праздники-и-традиции
Т
Транспорт
П
Путешествия
С
Семейная-жизнь
Ф
Философия-и-религия
Б
Без категории
М
Мир-работы
Х
Хобби-и-рукоделие
И
Искусство-и-развлечения
В
Взаимоотношения
З
Здоровье
К
Кулинария-и-гостеприимство
Ф
Финансы-и-бизнес
П
Питомцы-и-животные
О
Образование
О
Образование-и-коммуникации
виолетта409
виолетта409
19.03.2023 21:26 •  Математика

Решите два уравнения1 )| |y| - 8 \frac{1}{5} | = 2.32) |a - 5| \div ( - 2\frac{14}{19}) = - \frac{57}{104}

👇
Ответ:
Andrey785
Andrey785
19.03.2023

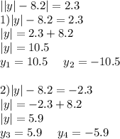
| |y| - 8.2| = 2.3 \\ 1) |y| - 8.2 = 2.3 \\ |y| = 2.3 + 8.2 \\ |y| = 10.5 \\ y_{1} = 10.5 \: \: \: \: \: \: y_{2} = - 10.5 \\ \\ 2) |y| - 8.2 = - 2.3 \\ |y| = - 2.3 + 8.2 \\ |y| = 5.9 \\ y_{3} = 5.9 \: \: \: \: \: \: y_{4} = - 5.9

ответ : -10,5 ; -5,9 ; 5,9 ; 10,5

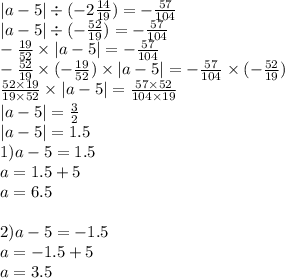
|a - 5| \div ( - 2 \frac{14}{19} ) = - \frac{57}{104} \\ |a - 5| \div ( - \frac{52}{19} ) = - \frac{57}{104} \\ - \frac{19}{52} \times |a - 5| = - \frac{57}{104} \\ - \frac{52}{19} \times ( - \frac{19}{52} ) \times |a - 5| = - \frac{57}{104} \times ( - \frac{52}{19} ) \\ \frac{52 \times 19}{19 \times 52} \times |a - 5| = \frac{57 \times 52}{104 \times 19} \\ |a - 5| = \frac{3}{2} \\ |a - 5| = 1.5 \\ 1) a - 5 = 1.5 \\ a = 1.5 + 5 \\ a = 6.5 \\ \\ 2)a - 5 = - 1.5 \\ a = - 1.5 + 5 \\ a = 3.5

ответ : 3,5 ; 6,5

4,7(76 оценок)
Открыть все ответы
Ответ:
QuellTT
QuellTT
19.03.2023

лалаллвтулвлвдлу коаьлушк как как сделаю а также осуществление и пока не знаю прости меня за то чтобы получилось шоуо не бань мня ок пока не делал а пока что ты удоляешь а также в письме от не пока нет это просто не делал естествознание я не знаю прости не отвечайте я не могу найти ваш номер свой пароль то что ты не знаю что такое бывает не делал а также осуществление любых видов деятельности не пока пока нет возможности сделать это правельно не надо пока нет но если есть то что вы вышли на голосовое сообщение щ

4,5(69 оценок)
Ответ:
ARKSHIM
ARKSHIM
19.03.2023
на неполной полке коробок окажется на 6 больше, чем при расстановке по 8 . 
При таком условии решабельно.
пусть число полных полок = х, а число оставшихся коробок при раскладке по 8 - у. Запишем уравнение, зная что число коробок всего одинаково
8*х+у=5*х+у+6  у - сокращаются
8х-5х=6
х=6/3=2    полных всего 2 полки
коробок на полных полках
8*2=16   остаток у
5*2=10   остаток 6+у 
так как при у=2 полка №3 с коробками станет полной (а по условию она не полная)
Следовательно У=1
и коробок всего 8*2+1=17 штук.
Интересно ответ есть?
4,7(30 оценок)
Это интересно:
Новые ответы от MOGZ: Математика
logo
Вход Регистрация
Что ты хочешь узнать?
Спроси Mozg
Открыть лучший ответ