М
Молодежь
К
Компьютеры-и-электроника
Д
Дом-и-сад
С
Стиль-и-уход-за-собой
П
Праздники-и-традиции
Т
Транспорт
П
Путешествия
С
Семейная-жизнь
Ф
Философия-и-религия
Б
Без категории
М
Мир-работы
Х
Хобби-и-рукоделие
И
Искусство-и-развлечения
В
Взаимоотношения
З
Здоровье
К
Кулинария-и-гостеприимство
Ф
Финансы-и-бизнес
П
Питомцы-и-животные
О
Образование
О
Образование-и-коммуникации
Annalove2000
Annalove2000
22.10.2022 23:20 •  Математика

В арафметичній прогресії а_1=4, а_2=14 знайти а_5 і S_10 ( хотяб одне з цих)

👇
Ответ:
kosikoffpasha
kosikoffpasha
22.10.2022

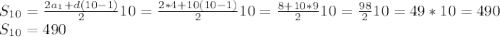
a_{5}=44\\S_{10}=490

Пошаговое объяснение:

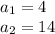
a_{1}=4\\a_{2}=14

Тогда разность прогрессии равна

d=a_{2}-a_{1}=14-4=10

Формула n-го члена прогрессии

a_{n}=a_{1}+d(n-1)

Нам нужен 5 член, значит n=5

a_{5}=a_{1}+d(5-1)=4+10(5-1)=4+10*4=44\\a_{5}=44

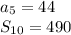
Найдем сумму первых 10 членов прогрессии по формуле

S_{n} =\frac{2a_{1}+d(n-1) }{2} n

Подставим n=10

S_{10} =\frac{2a_{1}+d(10-1) }{2} 10=\frac{2*4+10(10-1) }{2} 10=\frac{8+10*9 }{2} 10=\frac{98 }{2} 10=49*10=490\\S_{10} =490

4,4(23 оценок)
Открыть все ответы
Ответ:
ryenasssss
ryenasssss
22.10.2022

Пошаговое объяснение:

Скорость 1-го-260 м/мин

скорость 2-го- ? м/мин

Расстояние-15 км=15 000 м

время-30 мин

1) 260х30=7800 м

2)15 000-7800=7200 м

3)7200:30=240 м/мин- скорость второго

Два велосепедиста отправились из одного посёлка одновременно в противоположных направлениях. Через 30 минут расстояние между ними стало 15 км.Средняя скорость одного из них 240 м/мин. Узнай среднюю скорость другого велосепедиста?

скорость 1-го-240 м/мин

скорость 2-го-? м/мин

Время 30 мин

расстояние-15 км=15 000м

1)30х240=7200 м

2)15000-7200=7800 м

3)7800:30=260 м/мин

4,7(89 оценок)
Ответ:
dimatuz2018
dimatuz2018
22.10.2022
а) 0.738*9.7= 7,1586
    0,738
  *     9,7
    5,166
+6,642
  7,1586
 б) 3.6*5.125 =18,45
в) 0.081 *0.1 =0,0081
г) 28.13 :9.7=2,9
    281,3 : 97
  - 194      2,9
      873
     -873
         0
  
 д) 0.0988:0.0095 =10,4
     988 : 95
   - 95     10,4
       38
      -  0
       380
     - 380
            0
е) 0.052:0,1=0,52
    5,2 : 10
 -  0      0,52
     52
   - 50
       20
     -20
         0
2)52: 38.3: 43.24: 49.6: 58.86
   (52+38,3+43,24+49,6+58,86):5=242:5=48,4
3) 575.4-4.3*8.8+9:0.18 =587,56
  4,3*8,8=37,84
  9:0,18=50
575,4-37,84+50=587,56
4,8(68 оценок)
Это интересно:
Новые ответы от MOGZ: Математика
Полный доступ к MOGZ
Живи умнее Безлимитный доступ к MOGZ Оформи подписку
logo
Вход Регистрация
Что ты хочешь узнать?
Спроси Mozg
Открыть лучший ответ