М
Молодежь
К
Компьютеры-и-электроника
Д
Дом-и-сад
С
Стиль-и-уход-за-собой
П
Праздники-и-традиции
Т
Транспорт
П
Путешествия
С
Семейная-жизнь
Ф
Философия-и-религия
Б
Без категории
М
Мир-работы
Х
Хобби-и-рукоделие
И
Искусство-и-развлечения
В
Взаимоотношения
З
Здоровье
К
Кулинария-и-гостеприимство
Ф
Финансы-и-бизнес
П
Питомцы-и-животные
О
Образование
О
Образование-и-коммуникации
mariy2104
mariy2104
18.03.2022 14:53 •  Математика

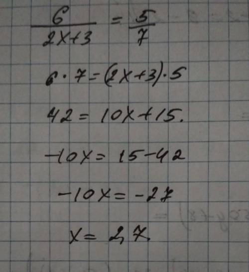
Решите уравнение: 6/2x+3=5/7
/ - дробная черта

👇
Ответ:
AnyaFilenkova
AnyaFilenkova
18.03.2022
Смотрите вложение.____________

Желаю всех благ!!!!!!


Решите уравнение: 6/2x+3=5/7 / - дробная черта
4,5(4 оценок)
Открыть все ответы
Ответ:

Чертеж беру ваш.

1) Т.к. ABCD - параллелограмм, то его противолежащие стороны параллельны и равны, т.е. АВ||EF, AB=EF, АE||BF, AE=BF.

2) Т.к. DCEF - параллелограмм, то его противолежащие стороны параллельны и равны, т.е. DC||EF, DC=EF, DE||CF, DE=CF.

3) По доказанному выше AB||EF||DC и AB=EF=DC ⇒ по признаку (равенство и параллельность одной пары противолежащих сторон четырехугольника) ABCD является параллелограммом.

4) По свойству диагоналей параллелограмма ABCD имеем: AE=EC и DE=EB. ⇒ EC=AE=BF и EB=DE=CF. Отсюда по признаку (равенство пар противолежащих сторон четырехугольника) EBFC является параллелограммом.

Доказано.

4,4(26 оценок)
Ответ:
дзхен
дзхен
18.03.2022

Размах ряда чисел - это разность между наибольшим и наименьшим из этих чисел.

Среднее арифметическое ряда чисел - это отношение суммы этих чисел на число слагаемых.

Мода ряда чисел - это число, которое встречается в этом ряду чаще других.

Медиана ряда чисел - это число, стоящее посередине упорядоченного по возрастанию ряда чисел (в случае, если количество чисел нечетное).

Медиана ряда чисел - это полусумма двух стоящих посередине чисел упорядоченного по возрастанию ряда (в случае, если количество чисел четное).

Задание 1.

Размах: 47-25=22;

Среднее арифметическое: \frac{39+33+45+25+33+40+47+38+34+33+40+44+45+32+27}{15}= \frac{555}{15}=37

15

39+33+45+25+33+40+47+38+34+33+40+44+45+32+27

=

15

555

=37 ;

Мода: 33;

Медиана: 38.

Задание 2.

Размах: 44-30=14;

Среднее арифметическое: \frac{36+30+35+36+36+38+40+41+44+43+36+41}{12}= \frac{456}{12}=38

12

36+30+35+36+36+38+40+41+44+43+36+41

=

12

456

=38 ;

Мода: 36;

Медиана: \frac{38+40}{2}=39

2

38+40

=39 .

Задание 3.

Размах: 46-24=22;

Среднее арифметическое: \frac{34+24+39+36+34+39+38+46+38+34+46+41+43+40}{14}= \frac{532}{14}=38

14

34+24+39+36+34+39+38+46+38+34+46+41+43+40

=

14

532

=38 ;

Мода: 34;

Медиана: \frac{38+46}{2}=42

2

38+46

=42 .

Задание 4.

Размах: 58-24=34;

Среднее арифметическое: \frac{39+45+35+24+35+38+58+34+38+35+40+42+45+36+56}{15}= \frac{600}{15}=40

15

39+45+35+24+35+38+58+34+38+35+40+42+45+36+56

=

15

600

=40 ;

Мода: 35;

Медиана: 34.

4,7(52 оценок)
Это интересно:
Новые ответы от MOGZ: Математика
logo
Вход Регистрация
Что ты хочешь узнать?
Спроси Mozg
Открыть лучший ответ