М
Молодежь
К
Компьютеры-и-электроника
Д
Дом-и-сад
С
Стиль-и-уход-за-собой
П
Праздники-и-традиции
Т
Транспорт
П
Путешествия
С
Семейная-жизнь
Ф
Философия-и-религия
Б
Без категории
М
Мир-работы
Х
Хобби-и-рукоделие
И
Искусство-и-развлечения
В
Взаимоотношения
З
Здоровье
К
Кулинария-и-гостеприимство
Ф
Финансы-и-бизнес
П
Питомцы-и-животные
О
Образование
О
Образование-и-коммуникации
trolololo228353
trolololo228353
05.02.2023 13:45 •  Математика

с решением очень поподробнее с решением очень поподробнее ❤️❤️❤️❤️☺️☺️☺️☺️☺️❤️❤️❤️❤️ ">

👇
Ответ:
несахар1
несахар1
05.02.2023

.................... в первом 3/4 .


с решением очень поподробнее с решением очень поподробнее ❤️❤️❤️❤️☺️☺️☺️☺️☺️❤️❤️❤️❤️
4,4(66 оценок)
Ответ:
KLIFFEKATERINA
KLIFFEKATERINA
05.02.2023

Пошаговое объяснение:

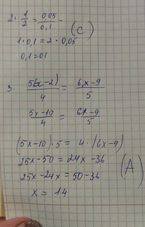
#1

6/8=3/4

#2

С) умножаем крест на крест, получается верное равенство:0,1×1=0,05×2=0,1=0,1

#3

левую часть умножаем на 5,правую на 4

25 (х-2)=24х-36

25х-50=24х-36

25х -24х=-36+50

х=14

4,7(69 оценок)
Открыть все ответы
Ответ:
Olyakiti
Olyakiti
05.02.2023
Тут удобно использовать метод анализа, который получил называние "backtracking" - обратное прослеживание.

Чтобы безусловно выиграть, нужно оставить противнику один карандаш. Следовательно, перед ходом противника должно быть столько карандашей, чтобы противник не смог оставить один карандаш вам. Это возможно, если карандашей будет пять. Тогда, взяв от одного до трех карандашей, противник оставит вам от четырех до двух карандашей и вы всегда сможете оставить ему только один.
Получается, что для выигрыша нужно оставить противнику перед последним ходом один карандаш, перед предпоследним - пять. Разница - четыре карандаша.
Отсюда видна стратегия игры. Нужно брать столько карандашей, чтобы противнику оставалось 1, 5, 9, 13, 17, 21 и т.д. карандашей.
А) Если карандашей 8, мы берем 3 и оставляем 5.
Б) Если карандашей 9, мы заведомо проиграем, поскольку до 5 у нас 4 карандаша (а больше 3 мы не можем взять), а до 9 - 0 (мы должны взять хотя бы 1 карандаш).
В) Если на столе 10 карандашей, мы берем 1 и получаем выигрышное количество 9.
Г) Если карандашей 15, мы берем 2 и получаем выигрышное количество 13.
4,4(100 оценок)
Ответ:
darabajkova4770
darabajkova4770
05.02.2023
10 чел хотят играть в волейбол, 7 в шахматы, 4 и в шахматы и в волейбол.
8 чел хотят посмотреть телевизор, 2 сразу и телевизор и в волейбол.
Никто не собирается делать все три дела сразу.
Значит, из 10 чел, которые будут играть в волейбол, 4 будут играть также в шахматы, а 2 также смотреть телевизор. Остаются 4, которые будут только играть в волейбол.
8 чел хотят смотреть телевизор, из них 2 вместе с волейболом, значит, 6 будут просто смотреть телевизор.
7 чел хотят в шахматы, 4 с волейболом, значит, 3 только в шахматы.
Итак, 19 чел делятся на:
1) 4 - играют только в волейбол
2) 3 - играют только в шахматы
3) 6 - только смотрят телевизор
4) 4 - играют в волейбол и шахматы
5) 2 - играют в волейбол и смотрят телевизор
Всего 4+3+6+4+2 = 19. Всё правильно.
Хотят сразу и посмотреть телевизор, и поиграть в шахматы - 0.
5 человек, которые пошли другой дорогой - из них 1 хочет поиграть в волейбол и посмотреть телевизор, остальные 4 только телевизор.
Смотреть телевизор и играть в шахматы не будет никто.
4,6(44 оценок)
Это интересно:
Новые ответы от MOGZ: Математика
logo
Вход Регистрация
Что ты хочешь узнать?
Спроси Mozg
Открыть лучший ответ