М
Молодежь
К
Компьютеры-и-электроника
Д
Дом-и-сад
С
Стиль-и-уход-за-собой
П
Праздники-и-традиции
Т
Транспорт
П
Путешествия
С
Семейная-жизнь
Ф
Философия-и-религия
Б
Без категории
М
Мир-работы
Х
Хобби-и-рукоделие
И
Искусство-и-развлечения
В
Взаимоотношения
З
Здоровье
К
Кулинария-и-гостеприимство
Ф
Финансы-и-бизнес
П
Питомцы-и-животные
О
Образование
О
Образование-и-коммуникации
sashaburov199
sashaburov199
18.08.2021 04:09 •  Математика

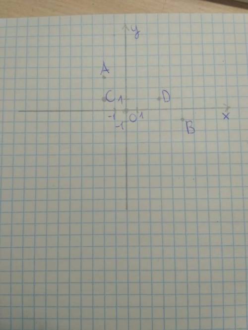
памагите дам многа бадав побудуйте на кардинатней площе точки А-2;3 В5;-1 С

👇
Ответ:

Пошаговое объяснение:


памагите дам многа бадав побудуйте на кардинатней площе точки А-2;3 В5;-1 С
4,8(43 оценок)
Открыть все ответы
Ответ:
nikitkanikita1
nikitkanikita1
18.08.2021

Пошаговое объяснение:

Найдём сумму всех чисел от 1 до 999, использовав формулу нахождения суммы арифметической прогрессии:

S = (1 + 999) ÷ 2 × 999 = 499 500

По условию у нас должно быть 3 группы, в которых сумма чисел равны. Зная общую сумму всех чисел (499500), найдём сумму чисел в каждой группе:

S1 = S2 = S3 = 499500 ÷ 3 = 166500

Приведём пример чисел, входящих в каждую группу.

1 группа:

Числа от 1 до 166, от 834 до 999 и 500

Это 166 пар, сумма в каждой из которых равна 1000 и 500, чтобы в общей сумме было 166 500

2 группа:

Сначала также наберём общую сумму 166 000 из чисел от 167 до 332 и от 668 до 833. Но 500 уже в 1 группе, поэтому нужно заменить некоторые числа на другие, большие их. Например, 167 на 667, тогда общая сумма увеличится на 667 - 167 = 500

Во вторую группу будут входить числа от 168 до 332 и числа от 667 до 833.

В третью группу будут входить числа от 333 до 666 без 500 и число 167

4,8(23 оценок)
Ответ:
risimonenko
risimonenko
18.08.2021
Задание с арифметической прогрессией

Так как сумма членов арифметической прогрессии(далее S) ищется по формуле:

S=2A1+(n-1)•d/2 и умноженное на n после дроби.

то нам нужно найти А1, А2, и d(разность арифметической прогрессии). n - это номер члена, который тебе нужен, например, первый член.
Тогда подставляем в нашу формулу:

А1 = 1,2- (0,8•1) = 1,2 - 0,8 =0,4
А2= 1,2- (0,8•2) =1,2 - 1,6 = -0,4

d(разность) = А2-А1
d = -0,4-0,4 = - 0,8

S17 = 2•0,4 + (17-1)•(-0,8)/2 и умноженное на 17 после дроби.

S17= 0,8 - 16•0,8/2 и умноженное на 17 после дроби

S17 = 0,8 - 12,8/ 2 и умноженное на 17 после дроби

S17 = -12/2 и умноженное на 17 после дроби

S17= -6•17 = - 102

ответ: S17= - 102

2 задание (с неравенством)
(Картинка - 1 вариант ответа)

3 задание я пыталась решить, но у меня не получается целое число, прости

с математикой 9 класс,тут на фото все
4,4(61 оценок)
Новые ответы от MOGZ: Математика
logo
Вход Регистрация
Что ты хочешь узнать?
Спроси Mozg
Открыть лучший ответ