М
Молодежь
К
Компьютеры-и-электроника
Д
Дом-и-сад
С
Стиль-и-уход-за-собой
П
Праздники-и-традиции
Т
Транспорт
П
Путешествия
С
Семейная-жизнь
Ф
Философия-и-религия
Б
Без категории
М
Мир-работы
Х
Хобби-и-рукоделие
И
Искусство-и-развлечения
В
Взаимоотношения
З
Здоровье
К
Кулинария-и-гостеприимство
Ф
Финансы-и-бизнес
П
Питомцы-и-животные
О
Образование
О
Образование-и-коммуникации
mandarinkamare007
mandarinkamare007
07.06.2021 11:16 •  Математика

если можете то напишите на листочке если можете то напишите на листочке ​ ">

👇
Ответ:
timashev94
timashev94
07.06.2021

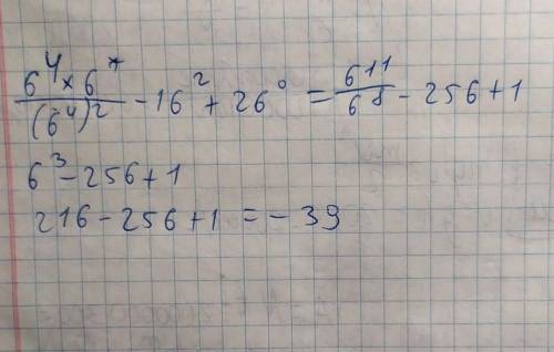
смотри решение на фото


если можете то напишите на листочке если можете то напишите на листочке ​
4,7(98 оценок)
Открыть все ответы
Ответ:
inybax
inybax
07.06.2021

№1.

НОД (3;5)=1, НОК(3;5)=15,

НОД(5;7)=1, НОК(5;7)=35,

НОД(2;11)=1, НОК(2;11)=22,

НОД(11;13)=1, НОК(11;13)=143,

НОД(7;3)=1, НОК(7;3)=21.

№2.

1) 10+2 = 12 (км/ч) - скорость лодки по течению реки.

2) 10-2=8 (км/ч) - скорость лодки против течения реки.

3) 24/12 = 2(ч) - время, потраченное на путь по течению реки.

4) 24/8 = 3 (ч) - время, потраченное на путь против течения реки.

5) 2+3=5 (ч) - время, которое потратит лодка на путь туда и обратно.

ответ: 5 часов.

№3.

а) 341000;  б) 110000;  в) 2000000; г) 4000000000

4,6(26 оценок)
Ответ:
kokola500001
kokola500001
07.06.2021
Расстояние между двумя причалами 24 км. Сколько времени потратит моторная лодка на путь от одного причала и обратно, если ее собственная скорость 10 км/ч, а скорость течения 2 км/ч24:12=2(часа)-потратит на путь в одну сторону10-2=8 км/ч - против течени24/8=3 ч - против течения24/12=2 ч - время затраченное на путь по течению10+2=12(км.ч)-скорсть лодки по течению2+3=5(часов)-потратит на путь туда и обратно10-2=8(км.ч)-скорсть лодки против течения10+2=12 км/ч - скорость лодки по течению2+3=5 ч
ответ: 5 24:8=3(часа)- потратит на путь обратно
4,6(77 оценок)
Это интересно:
logo
Вход Регистрация
Что ты хочешь узнать?
Спроси Mozg
Открыть лучший ответ