М
Молодежь
К
Компьютеры-и-электроника
Д
Дом-и-сад
С
Стиль-и-уход-за-собой
П
Праздники-и-традиции
Т
Транспорт
П
Путешествия
С
Семейная-жизнь
Ф
Философия-и-религия
Б
Без категории
М
Мир-работы
Х
Хобби-и-рукоделие
И
Искусство-и-развлечения
В
Взаимоотношения
З
Здоровье
К
Кулинария-и-гостеприимство
Ф
Финансы-и-бизнес
П
Питомцы-и-животные
О
Образование
О
Образование-и-коммуникации
АнютаП1
АнютаП1
22.03.2023 17:37 •  Математика

Вычислить несобственный интеграл или доказать его расходимость.

👇
Ответ:
bibok3
bibok3
22.03.2023

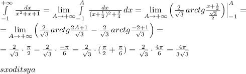
\int\limits^{+\infty }_{-1}\, \frac{dx}{x^2+x+1}=\lim\limits _{A \to +\infty}\int\limits^{A}_{-1}\, \frac{dx}{(x+\frac{1}{2})^2+\frac{3}{4}}\, dx=\lim\limits _{A \to +\infty}\Big (\frac{2}{\sqrt3}\, arctg\frac{x+\frac{1}{2}}{\frac{\sqrt3}{2}}\Big )\Big |_{-1}^{A}=\\\\=\lim\limits _{A \to +\infty}\Big (\frac{2}{\sqrt3}\, arctg\frac{2A+1}{\sqrt3}-\frac{2}{\sqrt3}\, arctg\frac{-2+1}{\sqrt3}\Big )=\\\\=\frac{2}{\sqrt3}\cdot \frac{\pi}{2}-\frac{2}{\sqrt3}\cdot \frac{-\pi }{6}=\frac{2}{\sqrt3}\cdot (\frac{\pi }{2}+\frac{\pi}{6})=\frac{2}{\sqrt3}\cdot \frac{4\pi }{6}=\frac{4\pi }{3\sqrt3}\\\\sxoditsya

4,7(15 оценок)
Открыть все ответы
Ответ:
spark74
spark74
22.03.2023
Известно, что задачи на разностное сравнение – это задачи, где сравниваются числа и в которых узнается, на сколько одно число больше или меньше другого. И для того чтобы определить, на сколько одно число больше или меньше другого, необходимо из большего вычесть меньшее. Естественно, сравнивать можно числа в одинаковой размерности. Тогда, для нашего примера:
1) 9 дм = 90 см = 900 мм; 9 см = 90 мм; 900 мм больше 90 мм в десять раз и больше 9 мм в сто раз; 9 дм > 9 cм > 9 мм.
2) 1 м < 1,999 м < 2 м.
4,7(24 оценок)
Ответ:
silenceeee
silenceeee
22.03.2023
1)Профессия журналиста характеризуется динамичностью. Каждый день насыщен более или менее интересными событиями.
2)Стандартно, каждый рабочий день мастера пера предполагает ряд обязательных процессов:
А) Поиск интересных тем и событий для описания. 
Б) Выезд на место события с целью сбора информации.
В) Анализ собранного материала, выявление ключевых моментов и цитат.
Г) Написание текста о событии.
Д)Подготовка и комментирование репортажа
Е) Фотофиксация событий – также составляющая журналистики

3) Хороший журналист должен обладать рядом качеств:

а)Коммуникабельность.
б)Любознательность.
в)Креативность.
 г)Находчивость и сообразительность.
д)Эрудированность.
е)Этичность
ж)Усидчивость
з) Аналитический склад ума
 

4)Средний заработок журналиста колеблется в пределах 25-36 тысяч рублей в месяц. В столице доходы стартуют от 28 000
рублей.

5)Карьера журналиста заключается в увеличении объема работ.

6)Главная перспектива – возможность открыть собственное дело в масс-медиа. Это может быть собственный журнал, информационный сайт или портал

7)Для того чтобы стать журналистом, следует выбрать одну из таких специальностей:
а)Журналистика.
б)Издательское дело.
в)Культурология.
г)Драматургия.
д)Искусство и гуманитарные науки.
е)Литературное творчество.
ж)Театроведение.
з)История искусств.

8)Факультет журналистики есть практически в каждом гуманитарном вузе страны. Самыми престижными считаются:Московский Государственный Университет;Академический международный институт;Институт УНИК;Смольный институт Российской академии образования;Самарская Гуманитарная Академия.

Образование журналиста предлагают многие другие высшие учебные заведения страны. Выбор вуза не столь важен, ведь в данной профессии главным является талант.

4,7(52 оценок)
Это интересно:
Новые ответы от MOGZ: Математика
logo
Вход Регистрация
Что ты хочешь узнать?
Спроси Mozg
Открыть лучший ответ