М
Молодежь
К
Компьютеры-и-электроника
Д
Дом-и-сад
С
Стиль-и-уход-за-собой
П
Праздники-и-традиции
Т
Транспорт
П
Путешествия
С
Семейная-жизнь
Ф
Философия-и-религия
Б
Без категории
М
Мир-работы
Х
Хобби-и-рукоделие
И
Искусство-и-развлечения
В
Взаимоотношения
З
Здоровье
К
Кулинария-и-гостеприимство
Ф
Финансы-и-бизнес
П
Питомцы-и-животные
О
Образование
О
Образование-и-коммуникации
denishka9503
denishka9503
24.04.2023 14:30 •  Математика

Найти общее решение дифференциального уравнения y'=y/x - 2

👇
Ответ:
AkLeAfAr
AkLeAfAr
24.04.2023

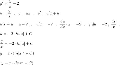
y'=\dfrac{y}{x}-2\\\\u=\dfrac{y}{x}\ \ ,\ \ y=ux\ \ ,\ \ y'=u'x+u\\\\u'x+u=u-2\ \ ,\ \ \ u'x=-2\ \ ,\ \ \dfrac{du}{dx}\cdot x=-2\ \ ,\ \ \int du=-2\int \dfrac{dx}{x} \ \ ,\\\\u=-2\cdot ln|x|+C\\\\\dfrac{y}{x}=-2\cdot ln|x|+C\\\\y=x\cdot (ln|x|^2+C)\\\\\underline {\ y=x\cdot (lnx^2+C)\ }

4,4(26 оценок)
Открыть все ответы
Ответ:
Пусть х - было всего пряжи, тогда 0,5х+100 ушло пряжи на бузрукавку, (х-(0,5х+100))*0,5+50 = (х-0,5х-100)*0,5+50=0,25х-50+50=0,25х -  пошло на шапку.
Составим и решим уравнение:
х-(0,5х+100)-0,25х-200=50
х-0,5х-100-0,25х-200=50
0,25х=50+100+200
0,25х=350
х=350:0,25
х=1400 (г) - пряжи было всего.
1400*0,5+100=700+100=800 (г) - пряжи пошло на бузрукавку.
(1400-800):2+50=300+50=350 (г) - пряжи пошло на шапку.
Проверяем:
1400-800-350-200=50
250-200=50
50=50
ответ:Всего купили 1400г пряжи. На шапку ушло 350г пряжи.
4,8(87 оценок)
Ответ:
ananas2106
ananas2106
24.04.2023
Найдем часть пути которую проделал поезд до задержки
250*0.6=150 км
Осталось проехать 250-150=100 км
Пусть х начальная скорость тогда
150 /х время пути в до задержки
15 минут он стоял это 15/60= 0.25часа
Далее он увеличил свою скорость на 20
скорость стала равной х+20
А изначально планировалось приехать за 250/х часов
Поэтому
150/х+0.25+100/(х+20)=250/х
0.25+100/(х+20)=100/х
(0.25х+105)/(х+20)=100/х

0.25х^2+105х=100х+2000
0.25х^2+5х-2000=0
Х^2+20х-8000=0
D=180
х1=(-20-180)/2=-100 не подходит так как скорость не может быть <0
Х2=(-20+180)/2=80км/ч
ответ 80 км/ч
4,7(70 оценок)
Это интересно:
Новые ответы от MOGZ: Математика
logo
Вход Регистрация
Что ты хочешь узнать?
Спроси Mozg
Открыть лучший ответ