М
Молодежь
К
Компьютеры-и-электроника
Д
Дом-и-сад
С
Стиль-и-уход-за-собой
П
Праздники-и-традиции
Т
Транспорт
П
Путешествия
С
Семейная-жизнь
Ф
Философия-и-религия
Б
Без категории
М
Мир-работы
Х
Хобби-и-рукоделие
И
Искусство-и-развлечения
В
Взаимоотношения
З
Здоровье
К
Кулинария-и-гостеприимство
Ф
Финансы-и-бизнес
П
Питомцы-и-животные
О
Образование
О
Образование-и-коммуникации

Решите уравнение 3*2^x-3+2^x=22​

👇
Ответ:
Гелакси27
Гелакси27
03.02.2021

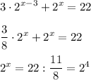
3·2ˣ-3+2ˣ = 22

4·2ˣ = 22+3 = 25

2ˣ = 25:4 = 6,25

x=\log_2{6,\! 25}

Или

\displaystyle 3\cdot 2^{x-3} +2^x=22\\\\\dfrac38 \cdot 2^x+2^x=22\\\\2^x=22:\dfrac{11}{8} =2^4

x = 4

4,7(47 оценок)
Открыть все ответы
Ответ:
ryzhovaelena1
ryzhovaelena1
03.02.2021

Названия созвездиям придумали еще в древнем мире. Людижили преимущественно в северном полушарии Земли и виделитолько открытую им часть небесной сферы. Поэтому примернополовина (47 из 88) созвездий издавна названа в честь мифо-логических персонажей. Другая часть - видимая из южногополушария - была открыта и получила названия в XVII веке,после Великих географических открытий.Покажи на числовом промежутке луча множество решенийдвойного неравенства 47 < x < 88 и назови числа. Сколькочисел получилось? Сколько созвездий получили названияв XVII веке?​

Пошаговое объяснение:

4,4(16 оценок)
Ответ:

Находим частное в следующих примерах.

2,4:8 = 0,3.

То есть частное чисел 2,4 и 8 равно 0,3.

0,42:7 = 0,06.

Частное чисел 0,42 и 7 равно 0,06.

5,5:5 = 1,1.

Частное чисел 5,5 и 5 равно 1,1.

0,048:12 = 0,004.

То есть частное чисел 0,048 и 12 равно 0,004.

7:2 = 3,5.

То есть частное чисел 7 и 2 равно 3,5.

6,36:6 = 1,06.

То есть частное чисел 6,36 и 6 равно 1,06.

0,5:2 = 0,25.

То есть частное чисел 0,5 и 2 равно 0,25.

19:2 = 9,5.

То есть частное чисел 19 и 2 равно 9,5.

0,24:3 = 0,08.

То есть частное чисел 0,24 и 3 равно 0,08.

4,5(56 оценок)
Новые ответы от MOGZ: Математика
logo
Вход Регистрация
Что ты хочешь узнать?
Спроси Mozg
Открыть лучший ответ