М
Молодежь
К
Компьютеры-и-электроника
Д
Дом-и-сад
С
Стиль-и-уход-за-собой
П
Праздники-и-традиции
Т
Транспорт
П
Путешествия
С
Семейная-жизнь
Ф
Философия-и-религия
Б
Без категории
М
Мир-работы
Х
Хобби-и-рукоделие
И
Искусство-и-развлечения
В
Взаимоотношения
З
Здоровье
К
Кулинария-и-гостеприимство
Ф
Финансы-и-бизнес
П
Питомцы-и-животные
О
Образование
О
Образование-и-коммуникации
Sonya22031
Sonya22031
29.09.2020 05:14 •  Математика

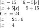
Решите уравнение |x|-15=9-5|x|

👇
Ответ:
ZikZaka2
ZikZaka2
29.09.2020

-4; 4.

Пошаговое объяснение:

Перенесем все выражения с x в левую сторону, остальные - в правую. Затем сложим все слагаемые и найдем |x|.

|x|-15=9-5|x|\\|x|+5|x|=9+15\\6|x|=24\\|x|=24:6\\|x|=4

x = -4 или x = 4

4,4(65 оценок)
Открыть все ответы
Ответ:
nicitama228800
nicitama228800
29.09.2020

1-Пропорция в математике — это равенство между отношениями двух или нескольких пар чисел или величин.

2-Запомните основное свойство пропорции: Произведение крайних членов пропорции равно произведению средних членов этой пропорции.

3-короче два числа называют взаимно обратными, если их произведение равно 1. Обратное число к данному числу — это такое число, которое мы умножаем на данное число и получаем единицу. ... Приведем примеры взаимно обратных чисел. Так как произведение двух единиц равно 1, то по определению числа 1 и 1 — взаимно обратные.

4-Дробь называется правильной, если ее числитель меньше знаменателя. Если же числитель больше знаменателя или равен ему, то дробь называется неправильной. ... Неправильную дробь часто записывают в виде смешанного числа - числа, состоящего из целой и дробной части.

5-на фото


мне, мне ее сдавать, а я не решил ((
4,7(84 оценок)
Ответ:
mikhuil
mikhuil
29.09.2020

Пошаговое объяснение:

1) = 2 1/6 : (8 3/4 - 5 2/4) = 2 1/6 : 3 1/4 = 13/6 * 4/13 = 2/3

2) = 3 17/20 : (3 6/15 + 1 11/15) = 3 17/20 : 4 17/15 = 77/20 * 15/77 = 3/4

3) = 2 2/5 : 1 1/10 = 12/5 * 10/11 = 24/11 = 2 2/11

4) = (1 7/10 + 8/10) : 1 7/8 = 1 15/10 : 1 7/8 = 25/10 * 8/15 = 4/3 = 1 1/3

5) = 25/8 * 16/15 - 1/4 = 10/3 - 1/4 = 40/12 - 3/12 = 37/12 = 3 1/12

6) = 1 9/35 : ( 1 3/15 + 10/15) = 1 9/35 : 1 13/15 = 44/35 * 15/28 = 33/49

7) = (11 15/24 + 7 4/24) : 3 5/12 = 18 19/24 : 3 5/12 = 451/24 * 12/41 = 11/2 = 5 1/2

8) = (8 14/24 - 2 15/24) : 2 1/6 = 5 23/24 : 2 1/6 = 143/24 * 6/13 = 11/4 = 2 3/4

4,7(87 оценок)
Новые ответы от MOGZ: Математика
logo
Вход Регистрация
Что ты хочешь узнать?
Спроси Mozg
Открыть лучший ответ