М
Молодежь
К
Компьютеры-и-электроника
Д
Дом-и-сад
С
Стиль-и-уход-за-собой
П
Праздники-и-традиции
Т
Транспорт
П
Путешествия
С
Семейная-жизнь
Ф
Философия-и-религия
Б
Без категории
М
Мир-работы
Х
Хобби-и-рукоделие
И
Искусство-и-развлечения
В
Взаимоотношения
З
Здоровье
К
Кулинария-и-гостеприимство
Ф
Финансы-и-бизнес
П
Питомцы-и-животные
О
Образование
О
Образование-и-коммуникации
PROMES
PROMES
10.07.2021 05:05 •  Математика

За 4 дюжины столовых ложек и 3 дюжины чайных заплачено 180 рублей.
В другой раз за 4 дюжины столовых ложек 5 дюжин чайных заплачено 204 рубля. Сколько стоит столовая и чайная ложка

👇
Ответ:
Diana15007
Diana15007
10.07.2021
Столовые ложки стоят 9 р   Чайные ложки стоят 48 р

Пошаговое объяснение:

Составим систему уравнений:

х - столовые ложки

у - чайные ложки

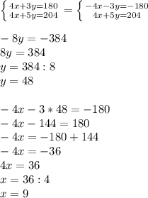
\left \{ {{4x+3y=180} \atop {4x+5y=204}} \right. =\left \{ {{-4x-3y=-180} \atop {4x+5y=204}} \right.\\\\ -8y=-384\\8y=384\\y=384:8\\y=48\\\\-4x-3*48=-180\\-4x-144=180\\-4x=-180+144\\-4x=-36\\4x=36\\x=36:4\\x=9

4,8(6 оценок)
Открыть все ответы
Ответ:
vd89084999583
vd89084999583
10.07.2021
Нельзя ни в коем случае чесать это место, иначе можно расчесать и повредить кожу. Через поврежденную кожу может попасть инфекция.

Чтобы как-то успокоить место укуса от зуда, необходимо неоднократно протирать это место содой пищевой, настойкой календулы, борным спиртом, валидолом, корвалолом, настойкой прополиса, сметаной, небольшим кусочком среза помидора или луковицы.
Можно также положить холодный компресс к месту укуса.

Сделать на месте укуса глубокое вдавливание ногтем в виде крестика, это народное простое средство.
4,7(21 оценок)
Ответ:
Alinka291002
Alinka291002
10.07.2021

а) 1/12 и 1/35 = 35/420 и 12/420

12=2*2*3    35=5*7     НОК (12 и 35) = 12 * 35 = 420

420 : 12 = 35 - доп.множ. к 1/12 = (1*35)/(12*35) = 35/420

420 : 35 = 12 - доп.множ. к 1/35 = (1*12)(35*12) = 12/420

б) 17/96 и 41/72 = 51/288 и 164/288

96=2*2*2*2*2*3     72=2*2*2*3*3   НОК(96и72)=2*2*2*2*2*3*3=288

288 : 96 = 3 - доп.множ. к 17/96 = (17*3)/(96*3) = 51/288

288 : 72 = 4 - доп.множ. к 41/72 = (41*4)/(72*4) = 164/288

в) 5/56 и 17/29 = 145/1624 и 952/1624

56*29=1624 - наименьший общий знаменатель число)

1624 : 56 = 29 - доп.множ. к 5/56 = (5*29)/(56*29) = 145/1624

1624 : 29 = 56 - доп.множ. к 17/29 = (17*56)/(29*56) = 952/1624 

г) 5/17 и 9/13 = 65/221 и 153/221

17*13=221-наименьший общий знаменатель (17и числа)

221 : 17 = 13 - доп.множ. к 5/17 = (5*13)/(17*13) = 65/221

221 : 13 = 17 - доп.множ. к 9/13 = (9*17)/(13*17) = 153/221

там ещё ест другие дроби

4,6(40 оценок)
Новые ответы от MOGZ: Математика
logo
Вход Регистрация
Что ты хочешь узнать?
Спроси Mozg
Открыть лучший ответ