М
Молодежь
К
Компьютеры-и-электроника
Д
Дом-и-сад
С
Стиль-и-уход-за-собой
П
Праздники-и-традиции
Т
Транспорт
П
Путешествия
С
Семейная-жизнь
Ф
Философия-и-религия
Б
Без категории
М
Мир-работы
Х
Хобби-и-рукоделие
И
Искусство-и-развлечения
В
Взаимоотношения
З
Здоровье
К
Кулинария-и-гостеприимство
Ф
Финансы-и-бизнес
П
Питомцы-и-животные
О
Образование
О
Образование-и-коммуникации
Jyrtasa
Jyrtasa
27.07.2020 07:53 •  Математика

Записать дифференциал 2-го порядка функции двух переменных.
z=e^xy

👇
Ответ:
magauovaalem1
magauovaalem1
27.07.2020

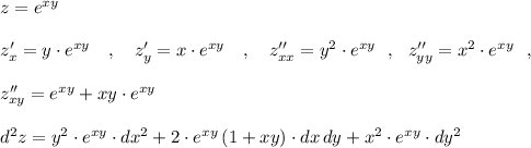
z=e^{xy}\\\\z'_{x}=y\cdot e^{xy}\ \ \ ,\ \ \ z'_{y}=x\cdot e^{xy}\ \ \ ,\ \ \ z''_{xx}=y^2\cdot e^{xy}\ \ ,\ \ z''_{yy}=x^2\cdot e^{xy}\ \ ,\\\\z''_{xy}=e^{xy}+xy\cdot e^{xy}\\\\d^2z=y^2\cdot e^{xy}\cdot dx^2+2\cdot e^{xy}\, (1+xy)\cdot dx\, dy+x^2\cdot e^{xy}\cdot dy^2

4,4(20 оценок)
Открыть все ответы
Ответ:
Привет

значит у Алёши 80 марок а у Бари на 20% больше чем у Алёша Сначала мы должны найти 20% от 80 а 20% от 80 значит 1/5 от 80 1/5 от 80 означает 80 / 5 А это равняется 16 мы нашли 20% от 80, а говорится что у Бари на 20% больше чем у Алёши значит мы должны к 80 прибавить 20% то есть 16 80 + 16 равняется 96 получается у Бори 96 марок

а у Вовы на 25% меньше чем у Алёши делаем одни и те же действия сначала находим 25% от 80 это означает 1/4 от 80: то есть 80 делить на 4 А это равняется 20 то есть 25% от 80 это 20 А нам говорится что у Вовы на 25% меньше чем у Алёши значит мы должны от 80 отнять 20 получается 60 марок

ответ у Бори 96 марок а у Вовы 60 марок
4,6(44 оценок)
Ответ:
Привет

значит у Алёши 80 марок а у Бари на 20% больше чем у Алёша Сначала мы должны найти 20% от 80 а 20% от 80 значит 1/5 от 80 1/5 от 80 означает 80 / 5 А это равняется 16 мы нашли 20% от 80, а говорится что у Бари на 20% больше чем у Алёши значит мы должны к 80 прибавить 20% то есть 16 80 + 16 равняется 96 получается у Бори 96 марок

а у Вовы на 25% меньше чем у Алёши делаем одни и те же действия сначала находим 25% от 80 это означает 1/4 от 80: то есть 80 делить на 4 А это равняется 20 то есть 25% от 80 это 20 А нам говорится что у Вовы на 25% меньше чем у Алёши значит мы должны от 80 отнять 20 получается 60 марок

ответ у Бори 96 марок а у Вовы 60 марок
4,7(10 оценок)
Это интересно:
Новые ответы от MOGZ: Математика
logo
Вход Регистрация
Что ты хочешь узнать?
Спроси Mozg
Открыть лучший ответ