М
Молодежь
К
Компьютеры-и-электроника
Д
Дом-и-сад
С
Стиль-и-уход-за-собой
П
Праздники-и-традиции
Т
Транспорт
П
Путешествия
С
Семейная-жизнь
Ф
Философия-и-религия
Б
Без категории
М
Мир-работы
Х
Хобби-и-рукоделие
И
Искусство-и-развлечения
В
Взаимоотношения
З
Здоровье
К
Кулинария-и-гостеприимство
Ф
Финансы-и-бизнес
П
Питомцы-и-животные
О
Образование
О
Образование-и-коммуникации
handofkremlin
handofkremlin
31.01.2020 21:15 •  Математика

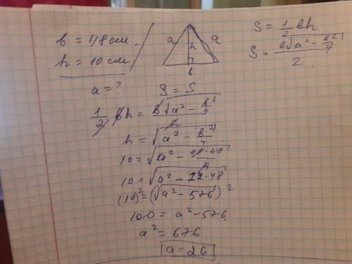
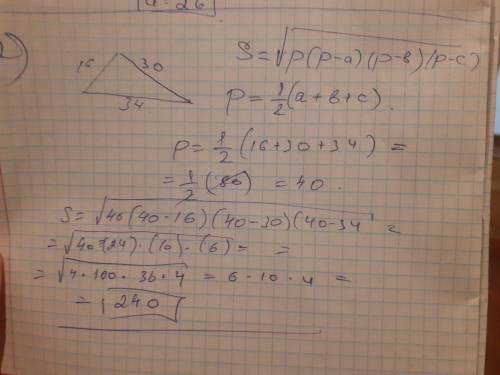
плз Основание равнобедренного треугольника равно 48 см. Высота, проведённая к основанию равна 10 см. Найдите боковую сторону треугольника. ответ дайте в сантиметрах. 2. Стороны треугольника 16, 34 и 30. Определите его вид и вычислите площадь треугольника. 3. Найдите периметр ромба, если его диагонали равны 48 см и 36 см.

👇
Ответ:
11111269
11111269
31.01.2020

ответ на фото

Пошаговое объяснение:


плз Основание равнобедренного треугольника равно 48 см. Высота, проведённая к основанию равна 10 см.
плз Основание равнобедренного треугольника равно 48 см. Высота, проведённая к основанию равна 10 см.
плз Основание равнобедренного треугольника равно 48 см. Высота, проведённая к основанию равна 10 см.
4,4(87 оценок)
Открыть все ответы
Ответ:
280605
280605
31.01.2020

По-моему решение неверное.

Как вообще решаются задачи на минимум(максимум)?

Вводится "х" ( за "х" берётся то, что спрашивается). С "х" составляется формула функции, которую нужно исследовать на минимум(максимум). Затем проводится исследование:

1) ищем производную

2) приравниваем её к нулю и решаем уравнение ( ищем критические точки)

3) исследуем получившиеся корни на минимум (максимум)

4) пишем ответ.

Пробуем!

Пусть R = х, тогда размеры окна будут 2х и 7,5 -2х

S = 2х(7,5 - х) = 15х - 2х²

S'= 15 - 4x

15 - 4x = 0

4x = 15

x = 3, 75

-∞            3,75           +∞

        +                 _          это знаки производной.

х = 3,75 - это точка максимума

При R = 3,75  площадь окна будет наибольшей.

4,6(28 оценок)
Ответ:
luneix123
luneix123
31.01.2020
●Как вычислять %
Дано число, например 4500. Его надо уменьшить на %, допустим 30%. Чтобы вычислить процент, надо число умножить на этот процент и разделить на 100.
Пример:
4500×30÷100=1350
Это сам процент
30%=1350
100%=4500
Если надо отнять процент, то надо поставить начальное число и минусовать
Пример:
4500- (4500×30÷100)= 3150
Если добавить, надо плюсовать число
Пример:
4500+ (4500×30÷100)= 5850

Пример, задача 10.4
1) 4500 - (4500 × 20 ÷ 100) = 3600 рублей (снизили на 20%)
2) 3600 + (3600 × 20 ÷ 100) = 4320 рублей (повысили на 20%)
ответ: коньки стали стоить 4320 рублей.
4,6(58 оценок)
logo
Вход Регистрация
Что ты хочешь узнать?
Спроси Mozg
Открыть лучший ответ