
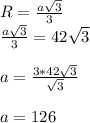
ответ:126
Пошаговое объяснение:
Нарисуй круг.
Проведи линию от центра круга до пересечения с окружностью, так называемый радиус.В результате этих действий получится круг, разделенный на 6 равных частей.
Правила поведения при перестрелке:
Нельзя находиться в помещении рядом с окнами. Это опасно не только из-за угрозы прямого попадания пули, осколка, снаряда, но и из-за опасности рикошета. Опыт показывает, что пуля, залетев в комнату, может срикошетить от стен и потолка не один раз, особенно в бетонных домах.
Необходимо немедленно отойти от окон. Если есть ванная комната, то желательно укрыться там, лечь на пол или в ванну. Находясь в своем укрытии, нужно следить за появлением дыма и огня.
Каждая 3–5-я пуля – трассирующая, поэтому риск пожара высок. Если пожар начался, а стрельба не прекратилась, необходимо ползком покинуть горящую комнату (квартиру), прикрыв за собой двери. В подъезде лучше всего спрятаться подальше от окон, например в нише. Опасно подходить к окнам и выходить на балкон и в том случае, если стреляют далеко от вашего дома.
Находясь на улице, необходимо найти укрытие. Им может служить выступ здания, каменные ступени, памятник, фонтан, бетонный столб, кирпичный забор или бордюрный камень. К укрытию необходимо пробираться ползком. Бежать опасно: могут принять за противника.
Если вы спрятались за автомобилем, то учтите, что его металл тонкий, а в баке – горючее. В любом случае даже такое укрытие лучше, чем никакое.
В таких случаях нет однозначных советов, решение необходимо принимать на месте.
Конечно, есть и безусловные вещи: не позволять зевакам стоять и наблюдать за перестрелкой, в первую очередь следует детей, престарелых людей и женщин.
126
Пошаговое объяснение: