
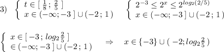
![t_1=\frac{1}{8}\ \ ,\ \ t_2=\frac{2}{5}\ \ ,\ \ 40(t-\frac{1}{8})(t-\frac{2}{5})\leq 0\ \ \ \to \ \ t\in [\ \frac{1}{8}\, ;\, \frac{2}{5}\; ]](/tpl/images/1347/7751/7f366.png)
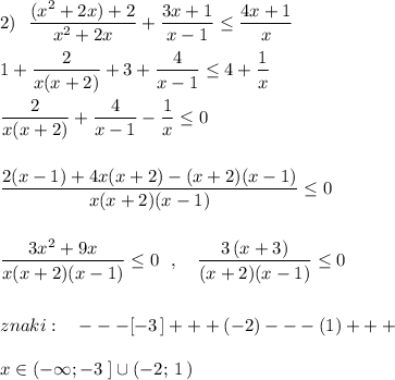
![2)\ \ \dfrac{(x^2+2x)+2}{x^2+2x}+\dfrac{3x+1}{x-1}\leq \dfrac{4x+1}{x}\\\\1+\dfrac{2}{x(x+2)}+3+\dfrac{4}{x-1}\leq 4+\dfrac{1}{x}\\\\\dfrac{2}{x(x+2)}+\dfrac{4}{x-1}-\dfrac{1}{x} \leq 0\\\\\\\dfrac{2(x-1)+4x(x+2)-(x+2)(x-1)}{x(x+2)(x-1)}\leq 0\\\\\\\dfrac{3x^2+9x}{x(x+2)(x-1)}\leq 0\ \ ,\ \ \ \dfrac{3\, (x+3)}{(x+2)(x-1)}\leq 0\\\\\\znaki:\ \ \ ---[-3\, ]+++(-2)---(1)+++\\\\x\in (-\infty ;-3\; ]\cup (-2;\, 1\, )](/tpl/images/1347/7751/38703.png)
![3)\ \ \left\{\begin{array}{l}t\in [\; \frac{1}{8}\, ;\, \frac{2}{5}\; ]\\x\in (-\infty ;-3\; ]\cup (-2\, ;\, 1\, )\end{array}\right\ \ \left\{\begin{array}{l}2^{-3}\leq 2^{x}\leq 2^{log_2(2/5)}\\x\in (-\infty ;-3\; ]\cup (-2\, ;\, 1\, )\end{array}\right\\\\\\\left\{\begin{array}{l}x\in [\, -3\, ;\, log_2\frac{2}{5}\; ]\\\x\in (-\infty ;-3\; ]\cup (-2\, ;\, 1\, )\end{array}\right\ \ \Rightarrow \ \ \ x\in \{-3\}\cup (\; -2;log_2\frac{2}{5}\, )](/tpl/images/1347/7751/a0a99.png)
3/16
Пошаговое объяснение:
4/7 а при делении вторую дробь переворачиваем получается 4/7 умножить на 9/5. 9.4=36, 7.5=35. ответ 36/35
3/8:15/24, переворачиваем вторую дробь 3/8.24/15 сокращаем 3 и 15, 8 и 24. OTBeT: 3/5 или 0,6
7 11/12:3 1/6. Превратим дробь 7 11/12 в неправильную: 7•12+ 11 = 95n получается дробь 95/12, также и со второй 3.6+1=19 получается дробь 19/6, при делении вторую дробь переворачиваем и получается 6/19. Сокращаем 95 и 19, 6 и 12 ответ: 1/10
или 0,1
48: 9/20 получается 48.20 и разделить на 9. ответ: 960/9 15/16 :10 переворачиваем второе число и получается 1/10. 15/6-1/10
Всего всевозможных исходов: 6 * 6 = 36
Рассмотрим упорядоченную пару {x ; y}, где x — выпадение очков на первом игральной кубике, y — на втором. Тогда
а) x + y ≤ 5
{1;1}, {1;2}, {1;3}, {1;4}, {2;1}, {2;2}, {2;3}, {3;1}, {3;2}, {4;1} - всего 10 исходов
Вероятность того, что сумма число очков не превосходит 5, равна
P = 10/36 = 5/18
б) xy ≤ 5
{1;1}, {1;2}, {1;3}, {1;4}, {1;5}, {2;1}, {2;2}, {3;1}, {4;1}, {5;1} - всего 10 исходов
Вероятность того, что произведение числа очков не превосходит 5, равна P = 10/36 = 5/18