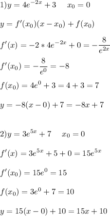
+3 в точке касания x0 = 0
+7 в точке касания x0 = 0 

ответ:Воспользуемся формулой Лапласа
вероятность, что событие наступит k раз при n испытаниях
P(k) = 1/корень (npq) * ф [ (k-np)/корень (npq) ], где
p - вероятность события, q = 1-p, ф - функция Гаусса
ф (x) = 1/корень (2pi) * e^(-x^2 / 2)
n = 1600, k = 1200, p = 0.8, q = 0.2
np = 1280, корень (npq) = 16
x = (k-np)/корень (npq) = -80 / 16 = -5
ф = 1/корень (2pi) * e^(-x^2 / 2) = 0.3989 * e^(-12.5) = 0,3989*3,731*10^(-6) = 1.488*10^(-6)
P(1200) = 1/16 * 1.488*10^(-6) = 0.93*10^(-7)
вероятность ничтожно мала - меньше одной десятимиллионной
Пошаговое объяснение:Воспользуемся формулой Лапласа
вероятность, что событие наступит k раз при n испытаниях
P(k) = 1/корень (npq) * ф [ (k-np)/корень (npq) ], где
p - вероятность события, q = 1-p, ф - функция Гаусса
ф (x) = 1/корень (2pi) * e^(-x^2 / 2)
n = 1600, k = 1200, p = 0.8, q = 0.2
np = 1280, корень (npq) = 16
x = (k-np)/корень (npq) = -80 / 16 = -5
ф = 1/корень (2pi) * e^(-x^2 / 2) = 0.3989 * e^(-12.5) = 0,3989*3,731*10^(-6) = 1.488*10^(-6)
P(1200) = 1/16 * 1.488*10^(-6) = 0.93*10^(-7)
вероятность ничтожно мала - меньше одной десятимиллионной