М
Молодежь
К
Компьютеры-и-электроника
Д
Дом-и-сад
С
Стиль-и-уход-за-собой
П
Праздники-и-традиции
Т
Транспорт
П
Путешествия
С
Семейная-жизнь
Ф
Философия-и-религия
Б
Без категории
М
Мир-работы
Х
Хобби-и-рукоделие
И
Искусство-и-развлечения
В
Взаимоотношения
З
Здоровье
К
Кулинария-и-гостеприимство
Ф
Финансы-и-бизнес
П
Питомцы-и-животные
О
Образование
О
Образование-и-коммуникации
Кара101
Кара101
03.11.2020 18:58 •  Математика

Log3 (1-2x) ⩾ log3 9 Решите

👇
Ответ:
watasiwanekodesu4
watasiwanekodesu4
03.11.2020

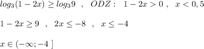
ответ:    x\in (-\infty ;-4\ ]\ .  

Пошаговое объяснение:

log_3(1-2x)\geq log_39\ \ ,\ \ ODZ:\ \ 1-2x0\ ,\ \ x

4,6(36 оценок)
Открыть все ответы
Ответ:
llllloolllllllllk
llllloolllllllllk
03.11.2020
1. Значение слова Свет по Ефремовой

1. Лучистая энергия, воспринимаемая глазом и делающая окружающий мир видимым. // Освещение, исходящее от какого-л. источника. // перен. Внутренняя озаренность, возникшая под влиянием какого-л. чувства.
2. Место, откуда исходит освещение. // Освещенное место, пространство.
3. Источник освещения и при для освещения в домах и на улице.
4. разг. Восход солнца; рассвет.
5. Светлое пятно на картине, передающее наибольшую освещенность какого-л. участка изображаемого; блик.
6. Употр. как символ истины, разума, просвещенности или радости, счастья.

2. Значение слова правда по Ефремовой:
1. То, что соответствует действительности; истина.
2. Правдивость, правильность. // разг. Правота.
3. Порядок, основанный на справедливости.
Употр. при выражении уступительности; соответствует по значению сл. : хотя, хотя и, следует признать.
1. Употр. при выражении утверждения, уверенного подтверждения.
2. Употр. при выражении согласия со словами собеседника.
3. Употр. как вводное слово, соответствуя по значению сл. : действительно, в самом деле.

3.истина

1. Идеал познания, заключающийся в совпадении мыслимого с действительностью, в правильном понимании и знании объективной действительности. // Адекватное отражение предметов и явлений действительности познающим субъектом, воспроизводящее их так, как они существуют вне и независимо от сознания (в философии) .
2. То, что есть в действительности, соответствует ей; правда.
3. Утверждение, суждение, положение, основанные на житейском опыте.
4,4(39 оценок)
Ответ:
vitalikpchel
vitalikpchel
03.11.2020
1)за один час  через первую трубу может наполниться 1/3 бака,а за два часа 2/3 бака. Значит за два часа через вторую трубу наполнилось 1/3 бака , скорость наполнения через вторую трубу 1/6 бака в час. Значит 2/3 обьема бака наполниться за 4 часа. 2/3 : на 1/6=4.2) За 15 часов 1-ая Гейдерная машина выровняла дорогу 15делить на 45=1/3 часть работы, а вторая машина 15 поделить на 36=5/12. За 15 часов они сделали , 1/3 + 5/12=3/4 обьема работы. Вторая машина доделывала 1/4 часть работы. Составим пропорцию:1/4 = х/36. х= 9.ответ 9 часовЗадачи на совместное действие.1. Бак наполнится через две трубы за  .Бак наполнится через одну трубу (первую) за .Приводим к общему знаменателю: - значит вторая труба наполнит полный бак (1) за 6 часов.Нам нужно 2/3 - значит: 6ч * 2/3 = 4часа.ответ. 2/3 бака через вторую трубу наполнятся за 4 часа. 2.Первая машина работает .Вторая машина работает .Приводим к общему знаменателю: Значит вместе они могут сделать работу за 20 часов.Работая 15 часов они сделали . Значит осталась еще 1/4 работы. Так как мы знаем, что вторая машина завершит всю работы за 36 часов, то  ответ: вторая машина еще проработает 9 часов.
4,4(91 оценок)
Новые ответы от MOGZ: Математика
logo
Вход Регистрация
Что ты хочешь узнать?
Спроси Mozg
Открыть лучший ответ