М
Молодежь
К
Компьютеры-и-электроника
Д
Дом-и-сад
С
Стиль-и-уход-за-собой
П
Праздники-и-традиции
Т
Транспорт
П
Путешествия
С
Семейная-жизнь
Ф
Философия-и-религия
Б
Без категории
М
Мир-работы
Х
Хобби-и-рукоделие
И
Искусство-и-развлечения
В
Взаимоотношения
З
Здоровье
К
Кулинария-и-гостеприимство
Ф
Финансы-и-бизнес
П
Питомцы-и-животные
О
Образование
О
Образование-и-коммуникации
OlesyaSteb
OlesyaSteb
30.03.2021 05:35 •  Математика

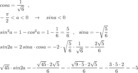
дано:cosa=1/√6 , -пи/2<α<0 Вычислить: √45⋅sin⁡2 x

👇
Ответ:
kuzmov55
kuzmov55
30.03.2021

cosa=\dfrac{1}{\sqrt6}\ \ ,\\\\-\dfrac{\pi}{2}

4,5(20 оценок)
Открыть все ответы
Ответ:
dashkastroga
dashkastroga
30.03.2021
В идеальном случае на первом взвешивании у нас две равновесных монеты, значит, оставшаяся - фальшивая. Оставшийся вариант - одна и настоящих + фальшивая. В этом случае первое взвешивание покажет, что на весах есть фальшивая монета и перевес в пользу одной из монет. Далее оставляем одну из монет на весах, а вторую меняем на оставшуюся из 3-х. В идеальном варианте весы в равновесии, значит, снятая монета - фальшивая. Это уже два взвешивания, но рассмотрим опять оставшийся случай. Весы опять показывают, что монеты весят по-разному и перевес в одну из сторон. Если мы не перекладывали монеты после второго взвешивания, то чаша оказавшаяся в том же положении, что и при первом взвешивании, содержит фальшивую монету. Т.е. в общем случае надо 2 взвешивания, но если повезет - то хватит и 1.
4,7(21 оценок)
Ответ:
GarmionaG7
GarmionaG7
30.03.2021
Зоопаркта күп удивительных хайваннар. Булмый описать аларның барысы да, шуңа күрә мин расскажу турында nekotyrye. Мин булдым зоопаркта мин күрдем удивительную балык. Нинди алар түгел иде. Кызыл белән разноцветными полосками, синие һәм якты бизәкләр, гади сары балык. Миңа да ошаган бер кош. Ястреб иде, моның белән горурланам һәм хәтта карыйлар кешеләр. Бәлки, ул эзләп барам. Обезьяны бик смешные. Перебегая бер урынга мөрәҗәгать үзгә. Зебры бик спокойными. Кайчан кешеләр приблизились аларга, алар убегают һәм прячутся. Жирафы ашыйлар. Һәм шулай ук курыкмый кешеләр. Мин теләр идем бару шунда тагын бик күп, бик күп тапкыр.

ну или вот так 

Сәлам, Дима. Шулай булгач, ул минем көтеп алынган ял көннәре. Бүген һава торышы җылы иде һәм мин булдым торышы йөрергә һәм сарыф зоопарк, абыйлары белән. Бездә булган зур ләззәт. Хайваннар иде аңында һәм гуляя урамда идәнгә басарга курка. Бервакыт мин алга китте зоопарк мин шунда ук китте обезьянам, чөнки алар смешные һәм бик сөйкемле хайваннар. Алар дыйгычлы буенча клетке уйнады һәм бер-беребез белән. Аларның иде прибавление. зоопарк без сорадылар, барам өчен хайваннар һәм ашаттылар, аларны. Миңа бу бик ошады. Мин uvidea медведей. Алар елдан-һичкемнең становясь барлык крупнее һәм крупнее. Зоопаркта бик күп төрле хайваннар, тик теләмим, сөйләшергә генә үзе турында. Ничек синдә эше? Бәлки, киләсе хатта Сез пишете турында сезнең зоопаркта?
4,8(53 оценок)
Это интересно:
Новые ответы от MOGZ: Математика
logo
Вход Регистрация
Что ты хочешь узнать?
Спроси Mozg
Открыть лучший ответ