Пошаговое объяснение:

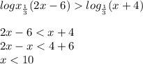
ОДЗ:

Белем бәйрәме( 2012 нче уку елы)
( Зал бәйрәмчә бизәлә, музыка яңгырый. “Бәйрәм бүген” җыры җырлана.
Сәхнәгә алып баручылар чыга)
А: Бар күңеллелек бөтен дөньяда, бар бер ямь бүген! Нәрсәдән бу?
Б: Мин беләм: бәйрәм бүген, бәйрәм бүген!
А: Туган җирнең һәрбер почмагында
Каршылыйлар белем бәйрәмен
Яңгырый сабыйларның шат авазы,
Кулларында - чәчәк бәйләме.
Б: Әй сентябрь, бу беренче
Көнең бигрәк матур!
Зәңгәр күк гөмбәзен күрче:
Гүя ефәк чатыр.
Э: Хәерле көн, хөрмәтле кунаклар, укытучылар, кадерле укучылар, әти-әниләр! Белем бәйрәме кеше тормышындагы иң зур бәйрәмнәрнең берсе, һәм ул аны гомере буе матур хәтирә булып озата бара. Бәйрәм уңаеннан әзерләнгән “Беренче кыңгырау” тантанасын ачык дип белдерәм. Сүзне мәктәбебез директоры Ильсур Шакировичка бирәм.
(Олы Әтнә урта мәктәбе директоры чыгышы)
(кунаклар чыгышы)
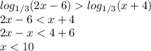
равенство 105 = 3 * 5 * 7
105 : 3 = 5 * 7
35 = 35 ⇒ 105 делится на 35;
105 : 5 = 3 * 7
21 = 21 ⇒ делится на 21
105 : 7 = 3 * 5
15 = 15 ⇒ делится на 15
105 : (5 * 7) = 3
3 = 3 ⇒ делится на 3
105 : (3 * 7) = 5
5 = 5 ⇒ делится на 5
105 : (3 * 5) = 7
7 = 7 ⇒ делится на 7
105 : (3 * 5 * 7) = 1
1 = 1 ⇒ делится на 1
ответ: делители числа из данных вариантов это: 1; 3; 5; 7; 15; 21; 35.
x ∈ (3;10)
Пошаговое объяснение:
x+4>0 x>-4
x ∈ (3;10)