М
Молодежь
К
Компьютеры-и-электроника
Д
Дом-и-сад
С
Стиль-и-уход-за-собой
П
Праздники-и-традиции
Т
Транспорт
П
Путешествия
С
Семейная-жизнь
Ф
Философия-и-религия
Б
Без категории
М
Мир-работы
Х
Хобби-и-рукоделие
И
Искусство-и-развлечения
В
Взаимоотношения
З
Здоровье
К
Кулинария-и-гостеприимство
Ф
Финансы-и-бизнес
П
Питомцы-и-животные
О
Образование
О
Образование-и-коммуникации
evgenqj2002
evgenqj2002
11.08.2022 17:51 •  Математика

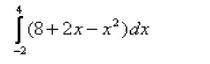
Вычислите определенный интеграл.


Вычислите определенный интеграл.

👇
Ответ:
lucykessidi007
lucykessidi007
11.08.2022

\int\limits^4_ {-2} \((8+2x-x^{2} ) dx

=-\int\limits^4_ {-2} \ x^{2} dx +2\int\limits^4_ {-2} \ x dx +8\int\limits^4_ {-2} \ 1 dx

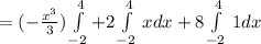
=(-\frac{x^{3} }{3} )\int\limits^4_ {-2} +2\int\limits^4_ {-2} \, xdx +8\int\limits^4_ {-2} \, 1dx

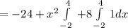
= -24+2 \int\limits^4_ {-2} \,x dx +8\int\limits^4_{-2} \, 1dx

=-24+x^{2} \int\limits^4_ {-2} \,+8\int\limits^4_ {-2} \, 1dx

=-12+8\int\limits^4_ {-2} \, 1dx

=-12+8x\int\limits^4_ {-2}

=36

4,6(99 оценок)
Открыть все ответы
Ответ:
petrchisp0abir
petrchisp0abir
11.08.2022
За покорением новгорода последовало и расхищение его века­ми собранных богатств. в москву потянулись обозы с сокровищами новгородской знати. вслед за ними повезли ссыльных. практически вся новгородская аристократия была разбросана по тюрьмам либо принудительно переселена в центральные районы страны.в новгороде иван отбирал вотчины не только у опальных бояр, но даже у архиепископа и монастырей. эти земли он раз­давал своим многочисленным слугам в качестве поместий — ус­ловных владений, пользоваться которыми помещик мог только до тех пор, пока оставался на службе у московского великого князя. тем самым иван создавал новое сословие — дворянство. со вре­менем оно станет прочной социальной базой российского самодер­жавия
4,6(76 оценок)
Ответ:
1234353234
1234353234
11.08.2022
Музыка – это поэзия, жизнь души, изложенная звуками… многие великие люди искусства считали, что именно музыка является наиболее совершенной сферой прекрасного, именно музыка способна наиболее полно выражать различные эмоции, богатую внутреннюю жизнь человека. я убеждена, что музыка является важной частью жизни каждого человека. почти у всех есть те или иные музыкальные предпочтения, которые зависят от характера человека, склада его души, уровня культуры, просто вкуса. но ясно одно - без музыки жить невозможно. интересно, с чем это связано? почему любой человек нуждается в музыке? я думаю, слушая какое-то музыкальное произведение, мы живем богатой внутренней жизнью. музыка заставляет нас переживать, чувствовать – более ярко глубоко, полно. а это жизненно необходимо каждому человеку, ведь наша жизнь – это прежде всего жизнь эмоций. человек жив, пока он чувствует. лично я ни дня не могу обойтись без музыки. во многом это «профессиональная привычка», ведь я с шести лет занимаюсь в музыкальной школе – учусь играть на фортепиано. к счастью, меня миновала участь многих моих сокурсников – я не возненавидела музыку и инструмент, а, узнав, «из чего состоит» музыкальное произведение, как и из чего «оно извлекается», я еще больше полюбила это «волшебство». из всех музыкальных жанров мне ближе всего классическая музыка. на мой взгляд, классика – это высшее воплощение музыкальных возможностей человека, это гениальное выражение эмоций и чувств посредством звуков, с музыкальных инструментов. мне кажется, классическая музыка, как и классическая , дает ответы на все вопросы бытия, выражает все оттенки переживаний, которые только может испытать человек, вне зависимости от его склада ума, темперамента и так далее. нужно лишь суметь услышать, понять, найти «своего» композитора. среди «вечных классиков», как я их называю, мне ближе всего бах и моцарт. бах, по моим ощущениям, – это величественность, мощь, сила, почти нечеловеческая грандиозность. многие, самые известные, произведения баха посвящены земной жизни иисуса христа – «страсти по иоанну», «страсти по матфею» и др. исполненные на органе, они производят грандиозное впечатление – человек чувствует свою ничтожность по отношению к миру и, в то же время, свою огромную значимость – значимость человека, за которого на кресте страдал христос. но я люблю не только те сочинения баха, которые предназначены для игры на органе. в наше время многие его инвенции и сюиты стали обязательными пьесами в программах музыкальных школ, а прелюдии и фуги «хорошо темперированного клавира» - в училищах и консерваториях. кое-что из этого я с удовольствием играю сама, а что-то просто слушаю с большим наслаждением. но не надо думать, что я «правильная» выпускница музыкальной школы, которая слушает только классику. кроме этой «великой музыки вечности», я люблю и «великую музыку 20 века» - джаз. в отличие от строгой, лаконичной, четко выверенной классики джаз – это свобода, легкость, непринужденность. недаром одним из главных принципов джаза является импровизация. конечно, непревзойденными мастерами джазовой композиции являются чернокожие музыканты – майлз дэвис, рей чарльз, луи армонстонг, элла фицджеральд… но были среди великих джазистов и «белые люди». если говорить о них, то особенно мне нравится творчество новатора д. гершвина и, конечно, произведения, исполнявшиеся джаз-оркестрами дюка эллингтона, бенни гудмена, каунта бэйси, гленна миллера. я и сама иногда исполняю джазовые произведения, однако делать это сложно. по трудности исполнение джаз, на мой взгляд, приравнивается к классике. помимо «высоких» жанров в музыке, я люблю слушать так называемую эстрадную песню (не путать с поп-музыкой). возможно, вы сочтете меня старомодной, но мне нравится французская эстрада 60-70-ых гг. в ней я чувствую французскую изысканность, утонченность – то, что для меня является «французским стилем». слушая песни шарля азнавура или мирей матье, я вижу бульвар монмартр, представляю, будто сижу в одном из многочисленных парижских кафе на открытом воздухе, утренней прохладой и чашкой кофе со знаменитым французским круассаном. музыка – важнейшая часть моей жизни. она тесным образом связана с моими воспоминаниями, мечтами, желаниями – самой сокровенной частью жизни моей души. именно поэтому музыка так дорога мне, и я уверена, что она будет сопровождать меня на протяжении всей жизни.
4,7(66 оценок)
Это интересно:
Новые ответы от MOGZ: Математика
Полный доступ к MOGZ
Живи умнее Безлимитный доступ к MOGZ Оформи подписку
logo
Вход Регистрация
Что ты хочешь узнать?
Спроси Mozg
Открыть лучший ответ