М
Молодежь
К
Компьютеры-и-электроника
Д
Дом-и-сад
С
Стиль-и-уход-за-собой
П
Праздники-и-традиции
Т
Транспорт
П
Путешествия
С
Семейная-жизнь
Ф
Философия-и-религия
Б
Без категории
М
Мир-работы
Х
Хобби-и-рукоделие
И
Искусство-и-развлечения
В
Взаимоотношения
З
Здоровье
К
Кулинария-и-гостеприимство
Ф
Финансы-и-бизнес
П
Питомцы-и-животные
О
Образование
О
Образование-и-коммуникации
Waz4
Waz4
17.01.2021 20:35 •  Математика

Вычислите площадь фигуры, ограниченной линиями: y=4x-5 y=0 x=-3 x=-2

👇
Ответ:
p5wf389f
p5wf389f
17.01.2021
Решение :

Для решения подобных задач часто используют формулу Ньютона-Лейбница:

\displaystyle \int\limits^b_a {f(x)} \, dx = F(b)-F(a)

Да, мы здесь считаем интеграл для функции y=5-4x (как результат приравнивания y=4x-5 и y=0). При этом, a=-3 и b=-2.

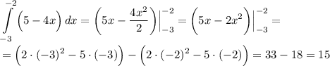
\displaystyle \int\limits^{-2}_{-3} {\Big ( 5-4x \Big)} \, dx = \bigg ( 5x - \frac{4x^2}{2} \bigg ) \Big | ^{-2}_{-3} =\bigg ( 5x-2x^2 \bigg ) \Big | ^{-2}_{-3} =\\\\= \Big ( 2 \cdot (-3)^2 - 5 \cdot (-3) \Big ) - \Big ( 2 \cdot (-2)^2 - 5 \cdot (-2) \Big ) = 33 - 18 = 15

Таким образом, искомая площадь равна 15 (ед²).

Но можно было и заметить (смотрите рисунок ниже), что у нас получилась трапеция ("обычная", не "криволинейная"), площадь которой равна 1 \cdot 13 + 4 \cdot 1 / 2 = 13+2 = 15 ( {площадь четырехугольника} + {площадь треугольника} ).

ответ :   15 .
Вычислите площадь фигуры, ограниченной линиями: y=4x-5 y=0 x=-3 x=-2
4,4(91 оценок)
Открыть все ответы
Ответ:
romalebedev19
romalebedev19
17.01.2021
Жил-был Квадрат. В его стране все было квадратным: дома, клумбы, часы. Даже блинчики, которые пекла его мама, были квадратными.Все друзья и соседи были одинаковые. Однажды Квадрат спросил у своей мамы: "Почему мы никогда не ходим в соседний город?"- "Там живут другие фигуры, они не такие, как мы!" - ответила мама.Квадрату стало очень любопытно. Неужели есть другие фигуры? Решил он отправиться в путешествие. И вот, Квадрат вошел в соседний город. И вдруг, он увидел, как прямо на него несется что-то непонятное. Квадрат зажмурил глаза.- "Привет, ты кто?" - вдруг услышал он. Он открыл глаза и увидел мальчика, у которого совсем не было углов.- "Я квадрат. Я из соседнего города. А ты кто?"- "А я - Круг".- "Как ты можешь двигаться так быстро?"- "Это я на велосипеде. Машина ездит еще быстрее!"- "А у нас нет ни машин, ни велосипедов".- "Конечно, ведь квадратные колеса не могут крутиться".
4,6(62 оценок)
Ответ:
azodanic12
azodanic12
17.01.2021
1)Выражение: -6*x-2*x^2=9
Квадратное уравнение, решаем относительно x: 
Ищем дискриминант:D=(-6)^2-4*(-2)*(-9)=36-(-8)*(-9)==36-(-(-72))=36-72=-36; 
Дискриминант меньше 0, уравнение не имеет корней.
2)Выражение: 2+12*x^2=11*x
12*x^2-11*x+2=0
Квадратное уравнение, решаем относительно x: 
Ищем дискриминант:D=(-11)^2-4*12*2=121-4*12*2=121-48*2=121-96=25;
Дискриминант больше 0, уравнение имеет 2 корня:x_1=(√25-(-11))/(2*12)=(5-(-11))/(2*12)=(5+11)/(2*12)=16/(2*12)=16/24=2/3;x_2=(-√25-(-11))/(2*12)=(-5-(-11))/(2*12)=(-5+11)/(2*12)=6/(2*12)=6/24=1/4~~0.25.
3) Выражение: -9-4*x^2+12=0
3-4*x^2=0
4) Выражение: 9*x^2+4=0
Квадратное уравнение, решаем относительно x: 
Ищем дискриминант:D=0^2-4*9*4=-4*9*4=-36*4=-144; 
Дискриминант меньше 0, уравнение не имеет корней.
5) Выражение: 25*x^2+10*x-8=0
Квадратное уравнение, решаем относительно x: 
Ищем дискриминант:D=10^2-4*25*(-8)=100-4*25*(-8)=100-100*(-8)=100-(-100*8)=100-(-800)=100+800=900;
Дискриминант больше 0, уравнение имеет 2 корня:x_1=(√900-10)/(2*25)=(30-10)/(2*25)=20/(2*25)=20/50=2/5~~0.4;x_2=(-√900-10)/(2*25)=(-30-10)/(2*25)=-40/(2*25)=-40/50=-(4/5)~~-0.8.
6) Выражение: x^2+2.3*x=0
x^2+23/10*x=0
Квадратное уравнение, решаем относительно x: 
Ищем дискриминант:D=(23//10)^2-4*1*0=(529//100)-4*0=529/100~~5.29;
Дискриминант больше 0, уравнение имеет 2 корня:x_1=(√(529/100)-23/10)/(2*1)=((23/10)-(23/10))/2=0/2=0;x_2=(-√(529/100)-23/10)/(2*1)=(-(23/10)-(23/10))/2=-(23/5)/2=-(23/10)~~-2.3.
4,7(47 оценок)
Это интересно:
Новые ответы от MOGZ: Математика
logo
Вход Регистрация
Что ты хочешь узнать?
Спроси Mozg
Открыть лучший ответ