
Пошаговое объяснение:
1) 35,1
2) 300:100*18= 54 га засеяли
3) 90:30*100= 300 р у Пети было изначально
4)12,3*2+13,2*4=77,4
77,4:6=12.9
5) 48:100*35=16,8 км за 1 день
16,8 : 80 * 100 = 21 Км за 2 день
1 и 2 день
16,8 + 21 = 37,8 км
3 день
48 - 37,8 = 10,2 км
ответ: 10,2 км.
6)процент, который прочитал в 1 день
100% - 40% = 60%
Процент прочитал во 2 день
60% * 60% = 0,6 * 0,6 = 0,36 = 36%.
Процент прочитал в 1 и 2 день
40% + 36% = 76%.
Процент прочитал в 3 день
100% - 76% = 24%.
Всего стр
144 * 100% / 24% = 600 стр
ответ: всего600 страниц.
Пошаговое объяснение:
Начертим луч с началом в точке К и на нём отметим произвольную точку М. Получили луч КМ.
3. Наложим транспортир так, чтобы центр его совпал с точкой К, а луч КМ через начало отсчёта на шкале.
4. На этой же шкале транспортира найдём штрих, который соответствует 110°. Отметим на чертеже точку N против штриха с отметкой 110°.
5. Проведём луч КN. Построенный нами угол МКN и есть искомый.
6. Запишим МКN = 110°.
Такой же угол можно построить и по другую сторону от луча КМ.
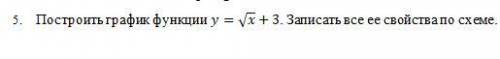
Пошаговое объяснение:
у=√х+3. Можно поучить сдвигом графика функции у=√х на 3 ед вверх по оси оу.
1) D(y) ∈ [0 ;+∞). E(f) ∈ [3 ;+∞).
2) Функция общего вида.
3) возрастающая х ∈ [0 ;+∞).
4) У>0 при х ∈ [0 ;+∞).
5) у(0)=3 , у(1)=4 , у(4)=5 , у(9)=7