

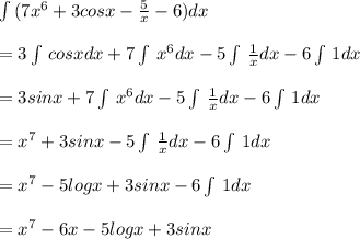
1) 12,5*40 = 500 кг молока в 40 ведрах
500*1,5: 40 = 18,75 кг масла мы получим
2)
пусть в первой школе x- учащихся, тогда во второй 0,9x а в третьей
0,5*(x+0,9x)=0,5*1,9x=0,95x
тогда
x+0,9x+0,95x=1140
2,85x=1140
x=400 - первая школа
0,9x=360 - вторая школа
0,5*(400+360)= 380 - третья школа
3)
(48-4):(20-4) = 44:16 - 4года назад отцу было 44года,сыну-16лет
(48-12):(20-12) = 36 : 8 - 12лет назад отцу было 36лет,сыну - 8лет