М
Молодежь
К
Компьютеры-и-электроника
Д
Дом-и-сад
С
Стиль-и-уход-за-собой
П
Праздники-и-традиции
Т
Транспорт
П
Путешествия
С
Семейная-жизнь
Ф
Философия-и-религия
Б
Без категории
М
Мир-работы
Х
Хобби-и-рукоделие
И
Искусство-и-развлечения
В
Взаимоотношения
З
Здоровье
К
Кулинария-и-гостеприимство
Ф
Финансы-и-бизнес
П
Питомцы-и-животные
О
Образование
О
Образование-и-коммуникации
savitar228
savitar228
29.03.2021 11:55 •  Математика

решить 5 и 6 задание (только желательно напишите ход решения).


решить 5 и 6 задание (только желательно напишите ход решения).

👇
Ответ:
dimysisdimysis
dimysisdimysis
29.03.2021

Пошаговое объяснение:

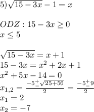
5)\sqrt{15-3x}-1=x\\\\ ODZ:15-3x\geq 0\\x\leq 5\\\\\sqrt{15-3x}=x+1\\15-3x=x^2+2x+1\\x^2+5x-14=0\\x_{1,2}=\frac{-5^+_-\sqrt{25+56} }{2}=\frac{-5^+_-9}{2}\\x_1=2\\x_2=-7

Проверяем

1)\sqrt{15-6}-1=2 \\2)\sqrt{15+21}-1\neq -7

⇒х=-7 - посторонний корень

ответ: х=2

2)f(x)=4x-6x^2+1\\F(x)=4*\frac{x^2}{2}-6*\frac{x^3}{3}+x=2x^2-2x^3+x+C\\ \\M(1;3)\\3=2-2+1+C\\C=2\\F(x)=2x^2-2x^3+x+2

4,6(61 оценок)
Открыть все ответы
Ответ:
Matveystori
Matveystori
29.03.2021
Пусть 6 чисел будут а1,а2,а3,а4,а5 и а6. Тогда из условия следует, что
1) а1=0,5*(а2+а3)
2) а2=0,5(а3+а4)
3) а3=0,5(а4+а5)
4) а4=0,5(а5+а6)
и ещё: 5) а6=а5+48
Подставим пятое уравнение в четвертое, получим
а4=а5+24, это подставим в третье уравнение, получим
а3=а5+12, это и предыдущее подставим во второе уравнение, получим
а2=а5+18, это и предыдущее подставим в первое уравнение, получим
а1=а5+15.
Теперь мы из а6 вычтем а1, чтобы узнать их разницу, получаем:
а6-а1=а5+48-а5-15=33
ответ: последнее число больше первого на 33.
4,4(42 оценок)
Ответ:
lizavettta888
lizavettta888
29.03.2021
ДАНО
V1 = 771/4 - скорость первого поезда
V2= V1- 31/2 - скорость второго поезда
t =2 час - время до встречи
НАЙТИ
S=?- расстояние 
РЕШЕНИЕ
сложим пройденные РАССТОЯНИЯ.
S = S1+S2 = V1*t + V2*t
Находим скорость второго поезда
V2 = V1 - 3 1/2 = 77 1/4 - 3 1/2 = 74 (1 - 2)/4 = 73 3/4
Путь первого до встречи
S1 = V1*t = 77 1/4 *2 = 154 1/2
Путь второго до встречи
S2 = V2*t = 73 3/4 *2 = 147 1/2
Расстояние между пунктами
S = S1+S2 = 154 1/2 + 147 1/2 =302 - ОТВЕТ по
Сначала сложим скорости, а потом умножим на время.
S = (V1+V2)*t
V2 = V1- 3 1/4  = 73 3/4 - нашли раньше.
И вычисляем расстояние
S = (77 1/4 + 73 3/4)*2 = 151*2 = 302  - ОТВЕТ по
4,5(79 оценок)
Это интересно:
Новые ответы от MOGZ: Математика
Полный доступ к MOGZ
Живи умнее Безлимитный доступ к MOGZ Оформи подписку
logo
Вход Регистрация
Что ты хочешь узнать?
Спроси Mozg
Открыть лучший ответ