М
Молодежь
К
Компьютеры-и-электроника
Д
Дом-и-сад
С
Стиль-и-уход-за-собой
П
Праздники-и-традиции
Т
Транспорт
П
Путешествия
С
Семейная-жизнь
Ф
Философия-и-религия
Б
Без категории
М
Мир-работы
Х
Хобби-и-рукоделие
И
Искусство-и-развлечения
В
Взаимоотношения
З
Здоровье
К
Кулинария-и-гостеприимство
Ф
Финансы-и-бизнес
П
Питомцы-и-животные
О
Образование
О
Образование-и-коммуникации
сашадобро
сашадобро
29.05.2021 18:03 •  Математика

Решить линейное дифференциальное уравнение первого порядка.


Решить линейное дифференциальное уравнение первого порядка.

👇
Ответ:
12babb
12babb
29.05.2021

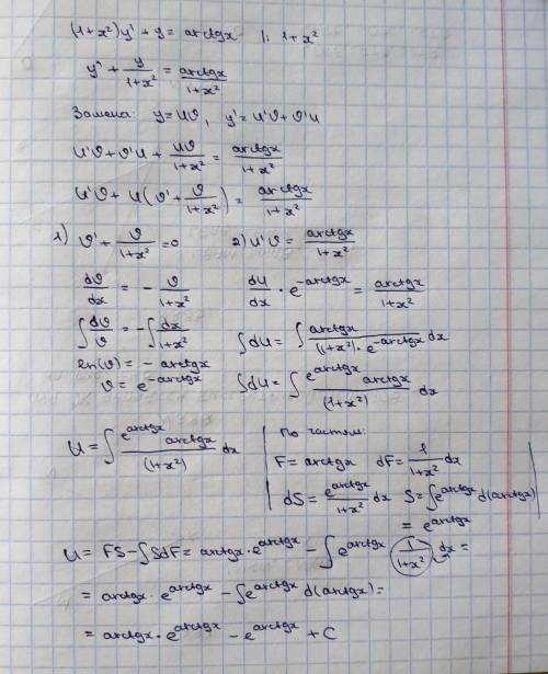
решение на фотографии


Решить линейное дифференциальное уравнение первого порядка.
Решить линейное дифференциальное уравнение первого порядка.
4,4(55 оценок)
Открыть все ответы
Ответ:
polilol2018
polilol2018
29.05.2021
Леонардо да Винчи (1452-1519 годы) – полное имя Леонардо ди сер Пьеро да Винчи, один из величайших представителей эпохи Возрождения. Его необычайные и многогранные дарования вызывали изумление и восторг современников, для которых он олицетворял образец гармонически развитого человека. Величайший итальянский живописец, пробовавший свои силы как скульптур и зодчий, он был также гениальным естествоиспытателем, анатомом, выдающимся математиком, механиком, инженером, одаренным писателем и музыкантом. Леонардо да Винчи портрет Становление Леонардо, как художника, началось во Флоренции. Леонардо, сын мелкого служащего из местечка Винчи, в ранней юности прибыл с семьей отца во Флоренцию, где в 1469 году стал учеником Андреа дель Верроккио — прославленного ваятеля и живописца. Работая в его мастерской, он написал в картине мастера «Крещение Христа» левую фигуру ангела. К ранним его работам относится эрмитажная «Мадонна с цветком». В ней уже присутствуют основные черты творчества Леонардо — интерес к психологии, необычность во всем: в цвете, композиции, светотеневой моделировке, перспективе. Вторая, незаконченная работа «Поклонение волхвов». В 1482 году Леонардо приезжает на жительство в Милан и начинает работать при дворе Миланского герцога Людовико Моро (Сфорца). Миланский период самый продуктивный в творчестве гения. Он начинает трудиться над конной статуей Франческо Сфорца. Была изготовлена грандиозная глиняная модель высотой в 7 метров. Пишет также картину «Мадонна в гроте». В этой картине все идеально рассчитано и поражает ясностью композиционного решения. Фигуры связаны пейзажем, легко вписываются в пирамидальную композицию. Лица изображенных отмечены удивительной живописью, на лице Мадонны легкая улыбка, а еле уловимая светотень, знаменитое «сфумато» да Винчи, создает ощущение неяркого света. В трапезной Миланского храма Санта-Мария-делле-Грацие Леонардо начинает в 1495 году писать свою чудесную фреску «Тайная вечеря» размерами 8,6 на 4,5 метров. Тема фрески — драматический момент разоблачения и осуждение коварства и вероломства. Центром композиции является Христос, а сидящие по обе стороны от Него апостолы выражают 12 различных реакций на слова Христа. Особым обаянием отличаются женские портреты Леонардо да Винчи: «Портрет Чечилии Галерани», «Портрет Джиневры Бенчи», «Дама с горностаем», «Мадонна Литта» а также самый известный в мире «Портрет Моны Лизы Джоконды», написанные в 1490-1506 годах. В 1500 году Леонардо возвращается во Флоренцию, где создает картон фрески «Битва при Ангиари» для большого зала «Совета при дворце Синьории». Многие молодые художники копировали его работы, пытаясь приблизиться к таланту гения. Последние годы жизни гениального художника в странствиях. В 1517 г. он был приглашен во дворец французского короля Франциска I. Здесь Леонардо да Винчи ушел из мира в возрасте 67 лет. Его наследие поистине неоценимо. Помимо работ, имеющихся неоценимую художественную ценность, он оставил потомкам множество изобретений, результатов геологических исследований, анатомических зарисовок, работ по архитектуре, гидравлике, оптике, дневников, написанных в зеркальном отражении, философских трудов.  

o
4,4(27 оценок)
Ответ:
света940
света940
29.05.2021
Леонардо да Винчи (1452-1519 годы) – полное имя Леонардо ди сер Пьеро да Винчи, один из величайших представителей эпохи Возрождения. Его необычайные и многогранные дарования вызывали изумление и восторг современников, для которых он олицетворял образец гармонически развитого человека. Величайший итальянский живописец, пробовавший свои силы как скульптур и зодчий, он был также гениальным естествоиспытателем, анатомом, выдающимся математиком, механиком, инженером, одаренным писателем и музыкантом. Леонардо да Винчи портрет Становление Леонардо, как художника, началось во Флоренции. Леонардо, сын мелкого служащего из местечка Винчи, в ранней юности прибыл с семьей отца во Флоренцию, где в 1469 году стал учеником Андреа дель Верроккио — прославленного ваятеля и живописца. Работая в его мастерской, он написал в картине мастера «Крещение Христа» левую фигуру ангела. К ранним его работам относится эрмитажная «Мадонна с цветком». В ней уже присутствуют основные черты творчества Леонардо — интерес к психологии, необычность во всем: в цвете, композиции, светотеневой моделировке, перспективе. Вторая, незаконченная работа «Поклонение волхвов». В 1482 году Леонардо приезжает на жительство в Милан и начинает работать при дворе Миланского герцога Людовико Моро (Сфорца). Миланский период самый продуктивный в творчестве гения. Он начинает трудиться над конной статуей Франческо Сфорца. Была изготовлена грандиозная глиняная модель высотой в 7 метров. Пишет также картину «Мадонна в гроте». В этой картине все идеально рассчитано и поражает ясностью композиционного решения. Фигуры связаны пейзажем, легко вписываются в пирамидальную композицию. Лица изображенных отмечены удивительной живописью, на лице Мадонны легкая улыбка, а еле уловимая светотень, знаменитое «сфумато» да Винчи, создает ощущение неяркого света. В трапезной Миланского храма Санта-Мария-делле-Грацие Леонардо начинает в 1495 году писать свою чудесную фреску «Тайная вечеря» размерами 8,6 на 4,5 метров. Тема фрески — драматический момент разоблачения и осуждение коварства и вероломства. Центром композиции является Христос, а сидящие по обе стороны от Него апостолы выражают 12 различных реакций на слова Христа. Особым обаянием отличаются женские портреты Леонардо да Винчи: «Портрет Чечилии Галерани», «Портрет Джиневры Бенчи», «Дама с горностаем», «Мадонна Литта» а также самый известный в мире «Портрет Моны Лизы Джоконды», написанные в 1490-1506 годах. В 1500 году Леонардо возвращается во Флоренцию, где создает картон фрески «Битва при Ангиари» для большого зала «Совета при дворце Синьории». Многие молодые художники копировали его работы, пытаясь приблизиться к таланту гения. Последние годы жизни гениального художника в странствиях. В 1517 г. он был приглашен во дворец французского короля Франциска I. Здесь Леонардо да Винчи ушел из мира в возрасте 67 лет. Его наследие поистине неоценимо. Помимо работ, имеющихся неоценимую художественную ценность, он оставил потомкам множество изобретений, результатов геологических исследований, анатомических зарисовок, работ по архитектуре, гидравлике, оптике, дневников, написанных в зеркальном отражении, философских трудов.  

o
4,4(2 оценок)
Это интересно:
Новые ответы от MOGZ: Математика
Полный доступ к MOGZ
Живи умнее Безлимитный доступ к MOGZ Оформи подписку
logo
Вход Регистрация
Что ты хочешь узнать?
Спроси Mozg
Открыть лучший ответ