М
Молодежь
К
Компьютеры-и-электроника
Д
Дом-и-сад
С
Стиль-и-уход-за-собой
П
Праздники-и-традиции
Т
Транспорт
П
Путешествия
С
Семейная-жизнь
Ф
Философия-и-религия
Б
Без категории
М
Мир-работы
Х
Хобби-и-рукоделие
И
Искусство-и-развлечения
В
Взаимоотношения
З
Здоровье
К
Кулинария-и-гостеприимство
Ф
Финансы-и-бизнес
П
Питомцы-и-животные
О
Образование
О
Образование-и-коммуникации
Алекс2241
Алекс2241
31.10.2021 05:29 •  Математика

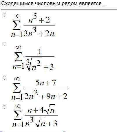
Сходящимся числовым рядом явлается...


Сходящимся числовым рядом явлается...

👇
Открыть все ответы
Ответ:
Shakhmilova001
Shakhmilova001
31.10.2021
Забудь о той наркомании, что я писала Треуг ВОС - равнобедренный с углом 120°. Проводим в нем высоту(она же биссек). Sin 60°=1/2осн/большая часть медианы.. кор.из3/2=3/большую часть медианы...большая часть медианы=2*кор.из3.. проведем среднюю линию теругольника - МК, получим треугольник МАК подобный АВС, коэффициент подобия : 1/2. Значит МК=1/2ВС=3. Рассмотрим треуг МОК. Там та же самая медина, которая биссек. Sin60°=1/2MK/меньшую часть медианы..кор.из3/2=1,5/меньшую часть медианы... меньшая часть медианы=кор.из3. Вся медиана = меньшая+ большая часть. Вся медиана=кор.из3+2*кор.из3=3 *кор.из3
4,6(30 оценок)
Ответ:
mushdal
mushdal
31.10.2021
В первый день - 37,5
Во второй день - 30% от первого дня 
В третий день - 195 км.

1. 37,5=37:5=  37   /5
                        35     75
                   
                           20
                           20
                      
                              0
2. 30% = 0,3 * 11,25 = 1125
                                           3
                                         
                                      3375 (км) - Во второй день.
3. 3375+195+75=3645 (км) 
ответ : Автомобиль за 3 дня проехал 3645 км.
4,4(27 оценок)
Новые ответы от MOGZ: Математика
logo
Вход Регистрация
Что ты хочешь узнать?
Спроси Mozg
Открыть лучший ответ