ответ: периметр прямоугольника уменьшиться в 2 раза
Пошаговое объяснение:

1)3/4= 9/12 и 1/6 = 2/12
4=2*2 ; 6=2*3 ⇒ НОК ( 4;6) = 2*2*3=12 ⇒НОЗ =12
2) 5/6 = 20/24 и 7/8= 21/24
6= 2*3; 8= 2*2*2 ⇒НОК (3;8) = 2*2*2*3 =24⇒НОЗ=24
3) 9/10= 18/20 и 1/4= 5/20
10=2*5; 4=2*2⇒НОК (10,4)= 2*2*5=20⇒НОЗ=20
4)2/15=4/30 и 1/6=5/30
15=3*5; 6=2*3 ⇒НОК (15,6)= 3*2*5=30 ⇒НОЗ=30
5)11/12= 22/24 и 3/8=9/24
12=2*2*3; 8=2*2*2⇒НОК (12,8)= 2*2*2*3=24⇒НОЗ=24
6) 1/16=3/48 и 5/12=20/48
16=2*2*2*2; 12=2*2*3⇒НОК (16,12)= 2*2*2*2*3=16*3=48; НОЗ=48
7) 13/18= 65/90 и 1/10=9/90
18=3*3*2 10=5*2 ⇒НОК (18;10) =3*3*2*5=90⇒НОЗ=90
8)5/24=10/48 и 15/16=45/48
24= 2*2*2*3; 16=2*2*2*2⇒НОК (24,16)=2*2*2*2*3=16*3=48⇒НОЗ=48
Боеприпасы и системы обычных средств поражения
Обычные средства поражения — это оружие, которое основано на использовании энергии взрывчатых веществ (ВВ) и зажигательных смесей (артиллерийские, ракетные и авиационные боеприпасы, стрелковое вооружение, мины, зажигательные боеприпасы и огнесмеси), а также холодное оружие. Вместе с тем современный уровень развития науки позволяет создать обычные средства поражения на качественно новых принципах (инфразвуковом, радиологическом, лазерном).
В ряду обычных средств поражения особое место занимает оружие, обладающее высокой точностью попадания в цель. Примером его могут служить крылатые ракеты. Они оснащаются сложной комбинированной системой управления, наводящей ракету на цель по заблаговременно составленным картам полета. Полет подготавливают на основе информации, заложенной в память бортовой ЭВМ, с разведывательных искусственных спутников земли. При исполнении задания эти данные сопоставляются с рельефом местности и автоматически корректируются. Система управления обеспечивает крылатой ракете полет на малых высотах, что затрудняет ее обнаружение и увеличивает вероятность поражения цели.
К высокоточному оружию относят: крылатые ракеты, управляемые ракеты, авиационные бомбы и кассеты, артиллерийские снаряды, торпеды, разведывательно-ударные, зенитные и противотанковые ракетные комплексы.
Высокая точность поражения целей этими средствами достигается:
наведением управляемых боеприпасов на визуально наблюдаемую цель (с бортовой видео-аппаратуры);
самонаведением боеприпасов с использованием радиолокационного обнаружения по отражению от поверхности цели (с бортовой радиолокационной станции (РЛС);
комбинированным наведением боеприпасов на цель, т.е. управлением с автоматизированной системы на большей части траектории полета и самонаведением на конечном этапе.
Эффективность высокоточного оружия была убедительно подтверждена в локальных войнах.
Наиболее распространенными боеприпасами, относящимися к обычным средствам поражения, являются различного вида авиабомбы - осколочные, фугасные, шариковые, а также боеприпасы объемного взрыва.
Фугасные боеприпасы предназначены для поражения ударной волной и осколками больших наземных объектов (промышленные и административные здания, железнодорожные узлы и так далее). Масса такой бомбы может быть от 50 до 10 000 кг. Основные средства доставки фугасных бомб — самолеты.
Часто они имеют взрыватели замедленного действия, которые срабатывают автоматически через некоторое время (несколько минут, часов, дней, месяцев и даже лет) после сбрасывания бомбы.
Широкое применение в Вооружённых Силах России получили ручные осколочные гранаты. Они активно применяются как в обороне, так и в наступлении для уничтожения живой силы противника.
В настоящее время каждое подразделение мотострелков имеет на вооружении ручные гранатомёты. Дальность выстрела гранатомёта, в зависимости от модели, 200 – 500 метров. При наличии выстрелов к гранатомёту, гранатомётчик может вести бой одновременно как с бронетехникой, так и с живой силой.
Осколочные авиабомбы применяются для поражения людей и животных. При взрыве бомбы образуется большое количество осколков, которые разлетаются в разные стороны на расстояние до 300 м от места взрыва. Кирпичные и деревянные стены осколки не пробивают. Осколочные боеприпасы предназначены главным образом для поражения людей.
В некоторых государствах проводят интенсивные работы по совершенствованию обычных осколочно-фугасных боеприпасов. Один из наиболее показательных примеров — создание и широкое применение различных боеприпасов с готовыми или полуготовыми убойными элементами.
Особенность таких боеприпасов — огромное количество (до нескольких тысяч) элементов (шариков, иголок, стрелок и прочее) массой oт 1 до нескольких граммов.
Шариковые (кассетные) противопехотные бомбы могут быть размером от теннисного до футбольного мяча и содержать до 200 металлических или пластмассовых шариков диаметром 5 — 6 мм. Радиус поражения у такой бомбы в зависимости от калибра составляет 1,5 — 15 м.
Часто эти бомбы называют кассетными, потому, что с самолетов их сбрасывают в упаковках (кассетах), содержащих 96 — 640 бомб. От действия вышибного заряда такая кассета над землей разрушается, а разлетающиеся шариковые бомбы взрываются на площади до 250 тысяч квадратных метров. Оснащают их различными взрывателями, инерционными, нажимного, натяжного или замедленного действия.
Таким же можно применять кассеты в противопехотных минах. От удара о землю из них выбрасываются проволочки-усики. При прикосновении к ним мина взлетает на высоту человеческого роста и взрывается в воздухе. Такие боеприпасы на открытой местности наносят множество ранений (эффект града) живой силе на больших площадях.
Чтобы защититься от действия таких боеприпасов, люди должны укрыться в любых защитных сооружениях.
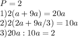
уменьшился в 2 раза
Пошаговое объяснение:
Первоначально меньшая сторона а, большая- 9а, Р=2(а+9а)=20а.
Фактически меньшая сторона 2а, большая- 9а:3=3а, Р=2(2а+3а)=10а.
Периметр уменьшился в 2 раза 20а:10а=2