М
Молодежь
К
Компьютеры-и-электроника
Д
Дом-и-сад
С
Стиль-и-уход-за-собой
П
Праздники-и-традиции
Т
Транспорт
П
Путешествия
С
Семейная-жизнь
Ф
Философия-и-религия
Б
Без категории
М
Мир-работы
Х
Хобби-и-рукоделие
И
Искусство-и-развлечения
В
Взаимоотношения
З
Здоровье
К
Кулинария-и-гостеприимство
Ф
Финансы-и-бизнес
П
Питомцы-и-животные
О
Образование
О
Образование-и-коммуникации
ност1
ност1
09.08.2020 01:21 •  Математика

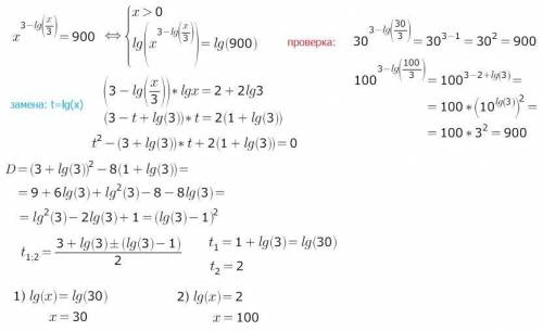
Найти сумму корней уравнения x^(3-lg(x/3))=900

👇
Ответ:
09.08.2020

ответ: 130

Пошаговое объяснение:

можно прологарифмировать обе части равенства (они строго положительны) по любому основанию (удобно основание 10)

получим два корня: х₁=30; х₂=100

и всегда полезно делать проверку...

4,6(51 оценок)
Ответ:
Timyr1020
Timyr1020
09.08.2020

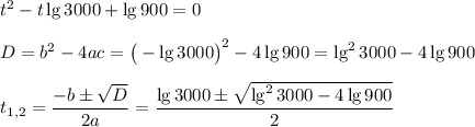
x^{3-\lg\frac{x}{3}}=900

Прологарифмируем по основанию 10 обе части уравнения

\Big(3-\lg \frac{x}{3}\Big)\lg x=\lg 900

\Big(3-(\lg x-\lg 3)\Big)\lg x=\lg900\\ \\ \Big(\lg 3000-\lg x\Big)\lg x=\lg 900

Пусть \lg x=t, получаем такое уравнение относительно t

\Big(\lg 3000-t\Big)t=\lg 900

t^2-t\lg3000+\lg 900=0\\ \\ D=b^2-4ac=\big(-\lg3000\big)^2-4\lg 900=\lg^23000-4\lg 900\\ \\ t_{1,2}=\dfrac{-b\pm\sqrt{D}}{2a}=\dfrac{\lg3000\pm\sqrt{\lg^23000-4\lg 900}}{2}

Выполним обратную подстановку

\lg x=\dfrac{\lg3000\pm\sqrt{\lg^23000-4\lg 900}}{2}\\\\ \\ \boxed{x=10^{\dfrac{\lg3000\pm\sqrt{\lg^23000-4\lg 900}}{2}}}

Сумма корней 10^{\dfrac{\lg3000+\sqrt{\lg^23000-4\lg 900}}{2}}+10^{\dfrac{\lg3000-\sqrt{\lg^23000-4\lg 900}}{2}}


Найти сумму корней уравнения x^(3-lg(x/3))=900
4,5(45 оценок)
Открыть все ответы
Ответ:
Юля5900274
Юля5900274
09.08.2020
7 мячиков и 7 ракеток стоят 5551 рубль.
Один комплект составляют 1 мячик и 1 ракетка, то есть это одна целая часть.
У нас получилось 7 комплектов то есть 7 частей.
5551:7=793 рубля стоит 1 комплект то есть одна ракетка и один мячик.
5 мячиков и 3 ракетки 3 комплекта и два мячика.
793*3=2379 рублей стоят 3 комплекта.
Теперь надо найти стоимость 2 мячей.
2585-2379=206 рублей стоят два мяча.
206:2=103 рубля стоит 1 мячик.
793-103=690 рублей стоит 1 ракетка.
103*3=309 рублей стоят 3 мячика.
690*5=3450 рублей стоят 5 ракеток.
3450+309=3759 рублей стоят три мячика и пять ракеток
ответ:3759
4,5(87 оценок)
Ответ:
аида206
аида206
09.08.2020
7 мячиков и 7 ракеток стоят 5551 рубль.
Один комплект составляют 1 мячик и 1 ракетка, то есть это одна целая часть.
У нас получилось 7 комплектов то есть 7 частей.
5551:7=793 рубля стоит 1 комплект то есть одна ракетка и один мячик.
5 мячиков и 3 ракетки 3 комплекта и два мячика.
793*3=2379 рублей стоят 3 комплекта.
Теперь надо найти стоимость 2 мячей.
2585-2379=206 рублей стоят два мяча.
206:2=103 рубля стоит 1 мячик.
793-103=690 рублей стоит 1 ракетка.
103*3=309 рублей стоят 3 мячика.
690*5=3450 рублей стоят 5 ракеток.
3450+309=3759 рублей стоят три мячика и пять ракеток
ответ:3759
4,8(22 оценок)
Это интересно:
Новые ответы от MOGZ: Математика
logo
Вход Регистрация
Что ты хочешь узнать?
Спроси Mozg
Открыть лучший ответ