М
Молодежь
К
Компьютеры-и-электроника
Д
Дом-и-сад
С
Стиль-и-уход-за-собой
П
Праздники-и-традиции
Т
Транспорт
П
Путешествия
С
Семейная-жизнь
Ф
Философия-и-религия
Б
Без категории
М
Мир-работы
Х
Хобби-и-рукоделие
И
Искусство-и-развлечения
В
Взаимоотношения
З
Здоровье
К
Кулинария-и-гостеприимство
Ф
Финансы-и-бизнес
П
Питомцы-и-животные
О
Образование
О
Образование-и-коммуникации
sheealice
sheealice
31.12.2021 04:14 •  Математика

В магазине с утра в одном ящике было 14 2/5 макарон, а в другом -13кг макарон. в конце дня в первом ящике оставалось 2 3/20 кг, а во втором ящике 4 1/2кг макарон. из какого ящика продали больше макарон и на сколько больше?

👇
Ответ:
krekninnuga
krekninnuga
31.12.2021

Из первого ящика продали больше макарон на 3\dfrac{3}{4} кг.

Пошаговое объяснение:

Найдём сколько продано макарон из первой коробки (кг):

14\dfrac{2}{5} -2\dfrac{3}{20}=14\dfrac{8}{20}-2\dfrac{3}{20}=12\dfrac{5}{20}=12\dfrac{1}{4}

Найдём сколько продано макарон из второй коробки (кг):

13 -4\dfrac{1}{2}=12\dfrac{2}{2}-4\dfrac{1}{2}=8\dfrac{1}{2}

12\dfrac{1}{4}8\dfrac{1}{2} - из первого ящика продано больше макарон.

Найдём на сколько больше продано макарон из первого ящика (кг):

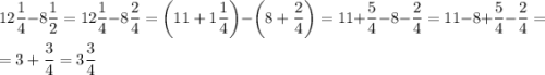
12\dfrac{1}{4} -8\dfrac{1}{2}=12\dfrac{1}{4}-8\dfrac{2}{4}=\left(11+1\dfrac{1}{4}\right)-\left(8+\dfrac{2}{4}\right)=11+\dfrac{5}{4}-8-\dfrac{2}{4}=11-8+\dfrac{5}{4}-\dfrac{2}{4}=\\\\=3+\dfrac{3}{4}=3\dfrac{3}{4}

4,4(94 оценок)
Ответ:
светилек
светилек
31.12.2021

1) 14 2/5 - 2 3/20 = 14 8/20 - 2 3/20 = 10 5/20 = 12 1/4 (кг) - продали из 1 ящика

2) 13 - 4 1/2 = 12 2/2 - 4 1/2 = 8 1/2 (кг) - продали со 2 ящика.

3) 12 1/4 - 8 1/2 = 12 1/4 - 8 2/4 = 11 5/4 - 8 2/4 = 3 3/4 (кг) - продали больше с 1 ящика

ответ : больше с 1 ящика на3 3/4 кг

4,6(76 оценок)
Открыть все ответы
Ответ:
marullens
marullens
31.12.2021

            Пошаговое объяснение на русском:

Условие:

За 1 неделю - 124 страницы

За 4 недели - ? страниц

Так как Солмаз выполняет за одну неделю 124 страницы текста, а у нас 4 недели, найдём сколько страниц она набрала за 4 недели.

1) 124 · 4 = 496 ( стр )

ответ: за 4 недели496 страницы

            Покрокове пояснення українською:

Умова:

За 1 тиждень - 124 сторінки

За 4 тижні - ? сторінка

Рішення:

Так як Солмаз виконує за один тиждень 124 сторінки тексту, а у нас 4 тижні, знайдемо скільки сторінок вона набрала за 4 тижні.

1) 124 · 4 = 496 ( стр )

Відповідь: за 4 тижні 496 сторінки

4,5(7 оценок)
Ответ:
vikapinigina
vikapinigina
31.12.2021

            ↓ Объяснение на русском: ↓

Как выглядит пример:

4 2/5 + 2 1/5

Как сложить обыкновенные дроби с одинаковым знаменателем?

Сначала сложить целые частиПотом, не трогая знаменатель, сложить числителиЕсли числитель получился больше чем знаменатель, либо сократить(если это возможно) либо увеличить целую часть.

Складываем:

4 2/5 + 2 1/5 = 6 3/5 = дробь несократима;

ответ: 6 3/5

                         

                        ↓ Пояснення українською: ↓

Як виглядає приклад:

4 2/5 + 2 1/5

Як скласти звичайні дроби з однаковим знаменником?

Спочатку скласти цілі частиниПотім, не чіпаючи знаменник, скласти чисельникиЯкщо чисельник вийшов більше ніж знаменник, або скоротити(якщо це можливо) або збільшити цілу частину.

Складати:

4 2/5 + 2 1/5 = 6 3/5 = дріб несократима;

Відповідь: 6 3/5

4,6(97 оценок)
Новые ответы от MOGZ: Математика
logo
Вход Регистрация
Что ты хочешь узнать?
Спроси Mozg
Открыть лучший ответ