М
Молодежь
К
Компьютеры-и-электроника
Д
Дом-и-сад
С
Стиль-и-уход-за-собой
П
Праздники-и-традиции
Т
Транспорт
П
Путешествия
С
Семейная-жизнь
Ф
Философия-и-религия
Б
Без категории
М
Мир-работы
Х
Хобби-и-рукоделие
И
Искусство-и-развлечения
В
Взаимоотношения
З
Здоровье
К
Кулинария-и-гостеприимство
Ф
Финансы-и-бизнес
П
Питомцы-и-животные
О
Образование
О
Образование-и-коммуникации
ilinet
ilinet
24.03.2021 02:46 •  Математика

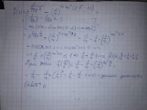
Т12) Чему равно наименьшее значение выражения {3}^{ \frac{1}{ log_{0.25}(3) } } - {0.25}^{1 + {cos}^{2} (5\pi - 3x) }
Как решить?
Варианты ответа: 0; -3/4 ; 3/16 ; -1/4

Заранее

👇
Ответ:
Мотылёк62
Мотылёк62
24.03.2021

ответ:0

Пошаговое объяснение:в приложении


Т12) Чему равно наименьшее значение выражения Как решить?Варианты ответа: 0; -3/4 ; 3/16 ; -1/4 Зар
4,6(24 оценок)
Открыть все ответы
Ответ:
инджи1
инджи1
24.03.2021
Это значит, что два числа, наугад взятые из некоторого набора чисел, различны. Например, есть набор чисел, представляющих собой целые значения логарифма х. И есть ещё один набор чисел - целые значения тангенса х. Логарифм - монотоння функция, тангенс - периодическая. Поэтому два ЛЮБЫХ числа из первого набора будут гарантированно различны (что и есть попарное различие) , а вот для второго набора РАЗНЫМ значениям икса могут соответствовать ОДИНАКОВЫЕ значения тангенса. То есть числа из этого набора не будут ВСЕГДА попарно различными, хотя там МОЖНО БУДЕТ НАЙТИ такие пары.
4,4(72 оценок)
Ответ:
koookBook
koookBook
24.03.2021
Професія - архітектор-одна з найбільш відомих, професія, без якої неможливе наше життя. Вона має кілька напрямків або спеціалізацій в області проектування і будівництва: архітектор житла працює повсюдно, як у міській, так і в сільській місцевості, створює житлові будівлі від невеликих будиночків і унікальних котеджів до висотних будинків, якими насичені міста. Сюди ж входить і проектування громадських будівель, таких як установи культури, спорту, громадського харчування та багато іншого. Архітектор, створює ландшафт, застосовує свої знання при проектуванні парків або присадибних територій (дуже затребувана сьогодні професія). Архітектор промислових об'єктів -в його розпорядженні всі промислові виробництва, які тільки можуть бути, все входить в сферу цієї професії. І, нарешті,архітектор - реставратор, спеціаліст по відродженню пам'яток архітектури, професія, яка буде жива завжди, оскільки люди дуже трепетно ставляться до збереження пам'яток архітектури.У старовинному місті Умань Черкаської області знаходиться одна з найвидатніших пам'яток садово-паркового мистецтва – Національний дендрологічний парк «Софіївка». Це прекрасний рукотворний сад, де дивовижно поєднуються легенди і бувале, казки і дійсність, а також щось нез'ясовне, що буде існувати вічно... Історія створення парку – це історія кохання. Засновник «Софіївки» Станіслав Потоцький, правнук гетьмана Речі Посполитої, був любителем новацій в сільському господарстві і садівництві. У своїх садибах він впроваджував нові технології ведення господарства, пробував нові сорти пшениці, ячменю, вівса і садових рослин. Подорожуючи по Україні, молодий Станіслав привіз з Італії в Тульчин саджанці пірамідальної тополі. В його маєтку щорічно оновлювалися і поповнювалися фруктові сади. Польський магнат був закоханий в красуню-грекиню Софію. Це була одна з найкрасивіших жінок того часу. Кажуть, любов – це величезна сила, яка може творити дива. В одному з листів Станіславу Софія писала, що її дуже вразив парк «Аркадія», побудований в романтичному стилі. Він належав її подрузі графині Хелені Радзивілл. Потоцький був готовий на все в ім'я коханої жінки. В 1796 році, за наказом графа, почалося будівництво прекрасного парку, який був названий на честь Софії. Дендропарк «Софіївка» спочатку був задуманий, щоб дивувати. Рукотворні каскади, водоспади, лабіринти доріжок, система ставків, підземна річка Стікс... Мабуть, це було найбільш масштабне паркове будівництво на той час в Україні. Широта інженерної думки, масштабність задуму в цілому, майстерність виконавців вражають навіть сьогодні. Одним з найбільш красивих і таємничих місць цього парку є Громовий грот. Він був видовбаний у скелі. Привертає увагу напис на стіні: «Залиш тут пам'ять про нещастя і прийми щастя. А якщо ти щасливий, то будишь ще щасливішим». Не менш цікавою є скульптура «Змія». Згідно з легендою, змія підло проковтнула пташенят і матір, після чого скам'яніла. І сьогодні вона стоїть непорушно з відкритим зівом. Окраса парку – це великий водоспад, створений руками людини і самою природою. Під водоспадом ви побачите тунель. Кажуть, якщо дівчина захоче дізнатися, коли вийде заміж, потрібно пройти через цей тунель. Скільки крапельок впаде, через стільки років вона вийде заміж. Щороку парк відвідують сотні туристів, щоб насолодитися прекрасною симфонією казки. Приємно прогулятися тінистими алеями, посидіти біля водойм, подивитися на водоспади, побувати в прохолодних гротах, покататися на човні або про підземною річкою. Літні люди можуть посидіти на затишних лавочках, згадати минуле, подумати про пережите. Для молоді та дітей є багато розваг. А закохані, як і два століття тому, визнаються тут в любові...

Read more at: http://ua.igotoworld.com/ru/poi_object/2003_national-dendrological-sofiivka-park.htm
4,5(96 оценок)
Это интересно:
Новые ответы от MOGZ: Математика
logo
Вход Регистрация
Что ты хочешь узнать?
Спроси Mozg
Открыть лучший ответ