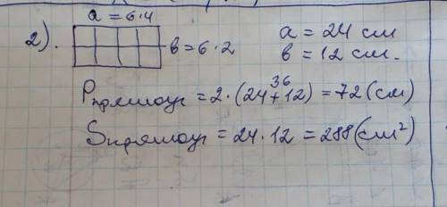
Р=72
S=288
Пошаговое объяснение:
Сторона квадрата равна 24:4=6см
п.с честно, я не знаю как объяснить, просто я нарисовала образно прямоугольник, где 4 квадрата- длина и 2 - ширина, думаю и так понятно
Р= (6+6+6+6+6+6)х2=72
S=(6+6)х(6+6+6+6)=288

Пошаговое объяснение:
№ 1. В новой квартире хотят поставить окно. Ширина окна должна быть 1 м 20 см, а длина 1 м узнать периметр окна и правильно его поставить.
1 м – 100 см
100 + 20 = 120 (см)
P = 2 × (100 + 120) = 2 × 220 = 440 (см)
ответ: P = 440 см.
№ 2.
В новой квартире так же хотят поставить дверь длиной 2 м 10 см и шириной 1 м. Теперь нужно узнать какова площадь двери.
2 м = 200 см
200 + 10 = 210 (см)
S = 210 × 100 = 21000 (см²)
ответ: S = 21000 см²
№ 3. Комната в новой квартире имеет высоту 2 м 80 см, ширину 5 м и длину 3 м. Узнайте объём данной комнаты.
2 м 80 см = 280 см
280 × 500 = 140000 см² = 1400 м²
1400 × 3 = 4200 м³
ответ: 4200 м³
в турнире участвуют 23-1 = 22 человека
найдем кол-во партий между ними
очевидно, если 3 участника, то партиий 3
добавляется 4й участник - партий 3+3=6 (предыдущие 3 партии и по одной партии между новым участником и каждым из трех предыдущих)
пятый 6+4=10
шестой 10+5=15
седьмой 15+6=21
(дальше эксель, растягиваем ячейку с форумолой получаем)
21й: 190+20=210
22й: 210+21 = 231
итого в турнире 22 участника сиграют 231 партию.
Но пара участников не поняли правила и сиграли 12 партий вместо одной, то есть добавляем 11
=242 партии было сиграно на турнире
1. Р =108 см, S = 288 см. кв
2. Р = 72 см, S = 288 см. кв.
Пошаговое объяснение:
решение во вложении ( два фото)