М
Молодежь
К
Компьютеры-и-электроника
Д
Дом-и-сад
С
Стиль-и-уход-за-собой
П
Праздники-и-традиции
Т
Транспорт
П
Путешествия
С
Семейная-жизнь
Ф
Философия-и-религия
Б
Без категории
М
Мир-работы
Х
Хобби-и-рукоделие
И
Искусство-и-развлечения
В
Взаимоотношения
З
Здоровье
К
Кулинария-и-гостеприимство
Ф
Финансы-и-бизнес
П
Питомцы-и-животные
О
Образование
О
Образование-и-коммуникации
aurantiuma
aurantiuma
21.06.2021 23:55 •  Математика

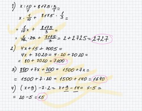
Сначала упрости выражения, затем найди их значения при x = 20 x:10+8175:3
4*x+15+7005
800+7*x+700
(x+9)-7*2

👇
Ответ:
Vftfg
Vftfg
21.06.2021
1) х:10+2725= 20:10+2725=2+2725=2727
2) 4х+7020=80+7020=8000
3) 1500+7х=1500+140=1940
4) (х+9)-14=15
4,8(33 оценок)
Ответ:
veronicavasilyk
veronicavasilyk
21.06.2021
На фотографии розовом выделены ответы, упростила как могла)
Сначала упрости выражения, затем найди их значения при x = 20 x:10+8175:3 4*x+15+7005800+7*x+700 (x+
4,5(98 оценок)
Открыть все ответы
Ответ:
12320071
12320071
21.06.2021
Так как все цифры, кроме первой одинаковые, то номер Маши меньше номера Сережи на 2000000.
то есть разница между номерами = 2000000

2000000 : 8 = 250000 - получили целое число, значит остаток от деления 8 в обоих случаях будет = 3

или

число делится на 8, если его последние три цифры делятся на 8.
у нас семизначные номера, последние цифры одинаковые, следовательно остатки в  номерах при делении на 8 будут одинаковые.

ОТВЕТ: При делении номера Сережи на 8 получим остаток 3.

проверка:
например номер Маши  4000003 : 8 = 500 000 (остаток 3)
              номер Сережи  6000003 : 8 = 750 000 ( остаток 3)
4,6(57 оценок)
Ответ:
Так как все цифры, кроме первой одинаковые, то номер Маши меньше номера Сережи на 2000000.
то есть разница между номерами = 2000000

2000000 : 8 = 250000 - получили целое число, значит остаток от деления 8 в обоих случаях будет = 3

или

число делится на 8, если его последние три цифры делятся на 8.
у нас семизначные номера, последние цифры одинаковые, следовательно остатки в  номерах при делении на 8 будут одинаковые.

ОТВЕТ: При делении номера Сережи на 8 получим остаток 3.

проверка:
например номер Маши  4000003 : 8 = 500 000 (остаток 3)
              номер Сережи  6000003 : 8 = 750 000 ( остаток 3)
4,5(61 оценок)
Это интересно:
Новые ответы от MOGZ: Математика
logo
Вход Регистрация
Что ты хочешь узнать?
Спроси Mozg
Открыть лучший ответ