М
Молодежь
К
Компьютеры-и-электроника
Д
Дом-и-сад
С
Стиль-и-уход-за-собой
П
Праздники-и-традиции
Т
Транспорт
П
Путешествия
С
Семейная-жизнь
Ф
Философия-и-религия
Б
Без категории
М
Мир-работы
Х
Хобби-и-рукоделие
И
Искусство-и-развлечения
В
Взаимоотношения
З
Здоровье
К
Кулинария-и-гостеприимство
Ф
Финансы-и-бизнес
П
Питомцы-и-животные
О
Образование
О
Образование-и-коммуникации
imamverdueffsa
imamverdueffsa
25.07.2021 08:35 •  Математика

Два числа относятся как 5 : 3.

Найди сумму этих чисел, если их разность равна 8.

👇
Ответ:
azalhanovahalid
azalhanovahalid
25.07.2021

Пошаговое объяснение:

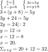
Пусть числа будут х и у.    ⇒

\left \{ {{\frac{x}{y}=\frac{5}{3} } \atop {x-y=8}} \right. \ \ \left \{ {{3x=5y} \atop {x=y+8}} \right. \ \ \\3*(y+8)=5y\\3y+24=5y\\2y=24 |:2\\y=12 \Rightarrow\\x-12=8\\x=20.\\\Sigma_{x+y}=20+12=32.

ответ: 32.

4,6(61 оценок)
Ответ:
koroleva1858
koroleva1858
25.07.2021

32

Пошаговое объяснение:

Пусть первое число равно 5x, тогда второе равно 3x

5x-3x=8

2x=8

x=4

5x=5*4=20

3x=3*4=12

20+12=32

4,6(44 оценок)
Открыть все ответы
Ответ:
Bogdan1500
Bogdan1500
25.07.2021
1. Магазин продал 37,5% пар лыж, соответственно осталось 100% - 37,5% = 62,5% что составляет 120 пар. Отсюда 120 : 62,5 = 1,92 - один процент. Далее 1,92 * 100% = 192 - пары лыж привезли в магазин. Продано 37,5%, значит 37,5% * 1,92 = 72 пары продали.
ответ: В магазин привезли 120 пар лыж, продали 72 пары, не продали 62,5%.
 2. Данных не достаточно, можно ответить на вопрос: Сколько человек не сдали норматив по стрельбе? 100 - 82 = 18%
8. 2) 300 : 3 * 2= 200, 300 + 200 = 500 увеличили на 2/3.
         300 : 100% = 3 - 1%
         200/3 = 66 2/3% - увеличили на 66 целых 2/3 процента.
         300/500 * 100% = 3/5 *100% = 3 * 20 = 60% - 300 составляет 60% от 500
4,5(65 оценок)
Ответ:
arusy
arusy
25.07.2021
1)процентом называется сотая часть числа
2)что бы выразить в процент нужно умножить на 100 и поставить знак %
3)что бы выразить десятичную дробь нужно число % разделить на 100
4) Нахождение процента от числа Процент от любого числа определяет часть этого числа. числа , нужно данное число умножить на число процентов и результат разделить на 100.
5) Нахождение числа по его проценту Правило. Чтобы найти число по его указанному проценту, нужно заданное число разделить на заданную величину процента, а результат умножить на 100.
4,4(24 оценок)
Это интересно:
Новые ответы от MOGZ: Математика
logo
Вход Регистрация
Что ты хочешь узнать?
Спроси Mozg
Открыть лучший ответ