М
Молодежь
К
Компьютеры-и-электроника
Д
Дом-и-сад
С
Стиль-и-уход-за-собой
П
Праздники-и-традиции
Т
Транспорт
П
Путешествия
С
Семейная-жизнь
Ф
Философия-и-религия
Б
Без категории
М
Мир-работы
Х
Хобби-и-рукоделие
И
Искусство-и-развлечения
В
Взаимоотношения
З
Здоровье
К
Кулинария-и-гостеприимство
Ф
Финансы-и-бизнес
П
Питомцы-и-животные
О
Образование
О
Образование-и-коммуникации
alusik2005
alusik2005
05.11.2021 18:25 •  Математика

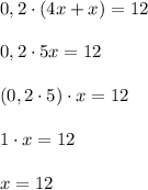
0,2*(4x + x)=12 уровнение решите

👇
Ответ:
bayramovarzu
bayramovarzu
05.11.2021

0,2\cdot (4x+x)=12\\\\0,2\cdot 5x=12\\\\(0,2\cdot 5)\cdot x=12\\\\1\cdot x=12\\\\x=12

4,4(93 оценок)
Ответ:
данил1956
данил1956
05.11.2021

0,2*(4х+х)=12

4х+х=60

5х=60

х=12

4,8(87 оценок)
Открыть все ответы
Ответ:
DrozZzD
DrozZzD
05.11.2021
Ёж - 1 слог
? - 
я|гу|ар - 3 слога
ан|ти|ло|па - 4 слога

Видите закономерность?) 1) название животных и 2) количество слогов в словах идет на увеличение, 3) названия животных чередуются по родам (м.р.//ж.р.)

И видите, что отсутствует слово из двух слогов. Выбирайте, какое нужно добавить: 

бел|ка - 2 слога (подходит)
уж - 1 слог
о|сёл - 2 слога 
о|бе|зья|на - 4 слога
о|чки - 2 слога

Чтобы не нарушать закономерность, можно добавлять слова из 2 слогов, женского рода, например:
кры|са - 2 слога, 
ли|са - 2 слога, и т.д.
4,8(92 оценок)
Ответ:
nataaleksandro2
nataaleksandro2
05.11.2021
Весной и осенью преобладают диатомовые водоросли, летом - перединиевые. Иногда наблюдается развитие сине-зеленых водорослей. Донная флора моря относительно бедная: бурые, красные и зеленые водоросли, морская трава, микроводоросли, а также бактерии. Развитие флоры Азовского моря в целом обеспечивает высокую степень развития биомассы зоопланктона (до 1,5 мг/м куб.), который включает около 400 видов - от одноклеточных до рыб и млекопитающих. Последние представлены в Азовском море одним видом — дельфин - азовка.
4,4(90 оценок)
Это интересно:
Новые ответы от MOGZ: Математика
logo
Вход Регистрация
Что ты хочешь узнать?
Спроси Mozg
Открыть лучший ответ