М
Молодежь
К
Компьютеры-и-электроника
Д
Дом-и-сад
С
Стиль-и-уход-за-собой
П
Праздники-и-традиции
Т
Транспорт
П
Путешествия
С
Семейная-жизнь
Ф
Философия-и-религия
Б
Без категории
М
Мир-работы
Х
Хобби-и-рукоделие
И
Искусство-и-развлечения
В
Взаимоотношения
З
Здоровье
К
Кулинария-и-гостеприимство
Ф
Финансы-и-бизнес
П
Питомцы-и-животные
О
Образование
О
Образование-и-коммуникации
shtylev2018
shtylev2018
11.07.2022 04:37 •  Математика

Найдите неизвестный член пропорции 12:4=x:5​

👇
Ответ:
АйкоУесМ
АйкоУесМ
11.07.2022

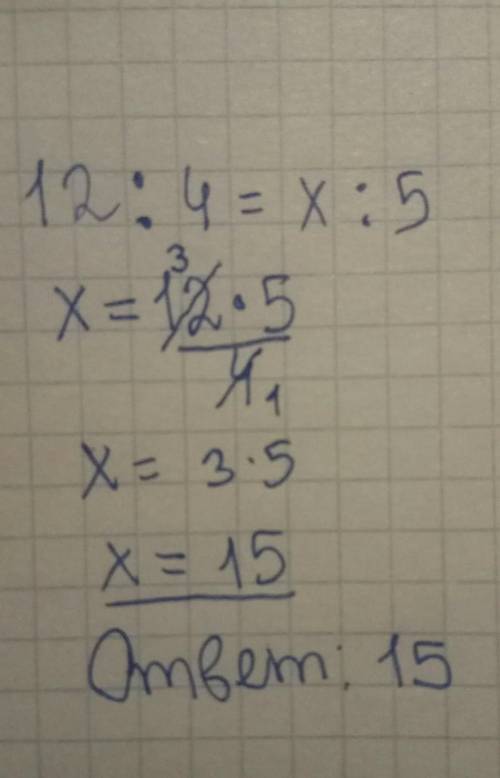
Х=15

12:4=х:5

Х=12*5

____

4

Х=15


Найдите неизвестный член пропорции 12:4=x:5​
4,6(6 оценок)
Ответ:
Ампорик
Ампорик
11.07.2022

х=15

Пошаговое объяснение:

Применяем "золотое" правило пропорции - произведение крайних членов равно произведению средних членов пропорции.

12:4=х:5

4*х=12*5

4х=60

х=60:4

х=15

4,6(100 оценок)
Открыть все ответы
Ответ:
Alisa48329
Alisa48329
11.07.2022
Моей любимой книгой является "Алые паруса",написанные А.С.Грином.
Книга прекрасная!читается очень легко. Писатель великолепно смог описать характер,чувства главной героини. Он отмечает ее необыкновенной душой в небогатой ее жизни,тем самым  показывая,что материальное положение не играет роль в нравственности людей.Грин показывает своим произведением,что нужно жить в гармонии с природой,стремится к труду,а главное:верить. Героиня,не потерявшая веру в свое заветное желание,достигает ее и этим счастливым моментом заканчивается произведение.Я Ощутила различные чувства,читая книгу.А когда человек чувствует и понимает произведение,он остается настоящим нравственным человеком.
4,5(46 оценок)
Ответ:
elyp28
elyp28
11.07.2022
Что это? Весь учебник нужно выкладывать? Первый нужно в контексте понимать ...Если речь о натуральных числах (естественные числа) — числа, возникающие естественным образом при счёте (как в смысле перечисления, так и в смысле исчисления). Существуют два подхода к определению натуральных чисел — числа, используемые при: перечислении (нумеровании) предметов (первый, второй, третий, …); 
обозначении количества предметов (нет предметов, один предмет, два предмета, …). Принят в трудах Бурбаки, где натуральные числа определяются как мощности конечных множеств. 
2 - е ну например: 7101001000 и 6300000100 ...Дальше нет времени отвечать )
4,6(68 оценок)
Новые ответы от MOGZ: Математика
logo
Вход Регистрация
Что ты хочешь узнать?
Спроси Mozg
Открыть лучший ответ