М
Молодежь
К
Компьютеры-и-электроника
Д
Дом-и-сад
С
Стиль-и-уход-за-собой
П
Праздники-и-традиции
Т
Транспорт
П
Путешествия
С
Семейная-жизнь
Ф
Философия-и-религия
Б
Без категории
М
Мир-работы
Х
Хобби-и-рукоделие
И
Искусство-и-развлечения
В
Взаимоотношения
З
Здоровье
К
Кулинария-и-гостеприимство
Ф
Финансы-и-бизнес
П
Питомцы-и-животные
О
Образование
О
Образование-и-коммуникации
romannikodov
romannikodov
21.03.2022 22:42 •  Математика

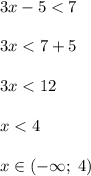
Решите неравенство 3х-5<7

👇
Ответ:
mmmm52
mmmm52
21.03.2022

ответ: Xє(4; +inf)

Пошаговое объяснение:3x<12

X<4

Xє(4; +inf)

4,5(61 оценок)
Ответ:

3x-5

4,5(98 оценок)
Открыть все ответы
Ответ:
kitkat2122
kitkat2122
21.03.2022
Если человек будет равнодушен в опасных ситуациях,то человеку который попал в эту ситуацию будет плохо.
Например: Вы видете,что незнакомый вам мужчина тащит за собой маленького мальчика,который плачет и кричит " ". Неравнодушный человек же,подбежал бы к мальчику и выяснил бы что случилось и если ему покажется подозрителным вызовет полицию.
Таких ситуаций море,чаще всего люди все равнодушны к этому. Например пожар. Почему все люди неравнодушны,если кто-то закричал "ПОЖАР!"? Потому что многие из них беспокоятся о себе и о своем доме.
 Если ты не будешь ко всему равнодушно относится,то жертв в опасных ситуациях станет меньше.
4,8(8 оценок)
Ответ:
узбек2004
узбек2004
21.03.2022
Равнодушным быть очень плохо. Это самое ужасное человеческое качество — человек безразличен ко всему, что окружает его. С таким человеком очень опасно заводить дружбу - он предаст при любой возможности. Противоположность безразличия - неравнодушность. Неравнодушный ко всему происходящему человек будет во всём. Такой человек - мой/моя друг/подруга. Однажды мы отдыхали с ней в лагере, и я оступилась перед крутым обрывом, а подруга, завидев меня на расстоянии около 30 м, быстро прибежала и придержала меня. Вот такие люди — неравнодушны к происходящему
4,8(9 оценок)
Новые ответы от MOGZ: Математика
logo
Вход Регистрация
Что ты хочешь узнать?
Спроси Mozg
Открыть лучший ответ