М
Молодежь
К
Компьютеры-и-электроника
Д
Дом-и-сад
С
Стиль-и-уход-за-собой
П
Праздники-и-традиции
Т
Транспорт
П
Путешествия
С
Семейная-жизнь
Ф
Философия-и-религия
Б
Без категории
М
Мир-работы
Х
Хобби-и-рукоделие
И
Искусство-и-развлечения
В
Взаимоотношения
З
Здоровье
К
Кулинария-и-гостеприимство
Ф
Финансы-и-бизнес
П
Питомцы-и-животные
О
Образование
О
Образование-и-коммуникации
sofiyakoroleva3
sofiyakoroleva3
17.10.2022 05:08 •  Математика

Реши задачу. Вычислил и запиши ответ. Участок квадратной формы с длиной сторон 30 м засели морковью. Сколько граммов семян потребовалось, если на 10 кв. м участка использовали 15 г семян. Только а в

👇
Ответ:
5676116788
5676116788
17.10.2022

900 грамм

Пошаговое объяснение:

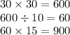
30 \times 30 = 600 \\ 600 \div 10 = 60 \\ 60 \times 15 = 900

600 кв. м целый участок

60 участков по 10 кв.м

900 грамм семян потребааолось

4,4(65 оценок)
Открыть все ответы
Ответ:
yarik159
yarik159
17.10.2022
Особливістю літератури даної доби є те, що митці повернувшись до античності не відкинули геть християнське, що було єдиним напрямом до цього часу, а поєднали ці два явища у собі. таким чином власне і виник християнський гуманізм, що мав у собі ідею щастя людини у земному житті, як християнську етику. з точки зору церкви то була єресь. але в наш час не можливо не відмітити, що це був надзвичайний ривок до розвитку. у творах згаданого періоду людина має власний внутрішній світ, духовну природу, як щось вище і не залежне від її релігійних поглядів, чи соціального стану, являє собою цінність. внутрішні конфлікти героїв творів шекспіра, на приклад, зовсім не носять біблейського характеру, а є ілюстрацією особистого вибору людину, її життєвих цінностей.
4,4(94 оценок)
Ответ:
kristavikown6tn
kristavikown6tn
17.10.2022
       4508                                                95760/7=13680
   *       39=                                              7        
     40572                                                25
+ 13524=                                                21
  175812                                                   47
                                                                 42
                                                                    56
                                                                     56
                                                                       0

                                                                       13680/30=456
                                                                       120
                                                                         168
                                                                         150
                                                                           180
                                                                            180
                                                                               0
4,5(97 оценок)
Это интересно:
Новые ответы от MOGZ: Математика
logo
Вход Регистрация
Что ты хочешь узнать?
Спроси Mozg
Открыть лучший ответ