М
Молодежь
К
Компьютеры-и-электроника
Д
Дом-и-сад
С
Стиль-и-уход-за-собой
П
Праздники-и-традиции
Т
Транспорт
П
Путешествия
С
Семейная-жизнь
Ф
Философия-и-религия
Б
Без категории
М
Мир-работы
Х
Хобби-и-рукоделие
И
Искусство-и-развлечения
В
Взаимоотношения
З
Здоровье
К
Кулинария-и-гостеприимство
Ф
Финансы-и-бизнес
П
Питомцы-и-животные
О
Образование
О
Образование-и-коммуникации
lehaguy
lehaguy
27.01.2020 07:12 •  Математика

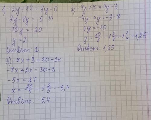
1)-2y+14=8y-6
2)-4y+7=4y-3
3)-7x+3=30-2x​

👇
Ответ:
erenina88
erenina88
27.01.2020

1)2

2)1,25

3)-5,4

решение на фото


1)-2y+14=8y-62)-4y+7=4y-33)-7x+3=30-2x​
4,5(43 оценок)
Открыть все ответы
Ответ:
Smazi
Smazi
27.01.2020

Решим данную задачу по действиям и подробно поясним каждое из них.

1) 1/4 + 1/5 = 5/20 + 4/20 = 9/20 килограмма конфет — во второй коробке, так как в ней на 1/5 килограмма больше, чем в первой, а в первой коробке 1/4 килограмма конфет;

2) 9/20 + 1/4 = 9/20 + 5/20 = 14/20 килограмма конфет — в двух коробках, так как в первой коробке 1/4 килограмма, а во второй — 9/20 килограмма;

3) 14/20 * 1000 = (14 * 1000)/20 = (14 * 50)/1 = 700 грамм конфет — в двух коробках.

ответ: 700 грамм конфет.

Пошаговое объяснение:

4,8(60 оценок)
Ответ:
123gordeev
123gordeev
27.01.2020
Переведем минуты в секунды 127*60/10=762 сек - катер идет по озеру
73*60/10=438сек - катер идет по течению реки

В озере нет течения, т.е. скорость катера vк=s/762
Тогда скорость течения реки vr=vkr-vk =(s/438)-(s/762), где vkr -  скорость катера по течению реки 
Скорость движения катера против течения реки обозначим vkl. Это будет разность скорости катера в стоячей воде и скорости течения реки:
vkl = vk-vr =(s/762)-(s/438)+(s/762)=s(2/762-1/438) - это скорость катера против течения.

Чтобы получить время движения против течения нужно путь разделить на скорость катера против течения
t = s/vkl = s/s(2/762-1/438)
Преобразовав дроби получим 2/762-1/438=19/55626
t = 55626/19=2927целых 13/19 сек

Вы в условии ничего не напутали с минутами??? Или там 7 и 3 минуты и вы так криво печатаете?
4,7(8 оценок)
Новые ответы от MOGZ: Математика
logo
Вход Регистрация
Что ты хочешь узнать?
Спроси Mozg
Открыть лучший ответ