М
Молодежь
К
Компьютеры-и-электроника
Д
Дом-и-сад
С
Стиль-и-уход-за-собой
П
Праздники-и-традиции
Т
Транспорт
П
Путешествия
С
Семейная-жизнь
Ф
Философия-и-религия
Б
Без категории
М
Мир-работы
Х
Хобби-и-рукоделие
И
Искусство-и-развлечения
В
Взаимоотношения
З
Здоровье
К
Кулинария-и-гостеприимство
Ф
Финансы-и-бизнес
П
Питомцы-и-животные
О
Образование
О
Образование-и-коммуникации
Adelina12005
Adelina12005
24.05.2021 14:07 •  Математика

Упростите выражение и найдите его значение 18а-12а+3с-2с при а=5 с=21

👇
Ответ:
EsmaVaida
EsmaVaida
24.05.2021

Надеюсь тебе.


Упростите выражение и найдите его значение 18а-12а+3с-2с при а=5 с=21
4,4(51 оценок)
Ответ:
kainkem
kainkem
24.05.2021
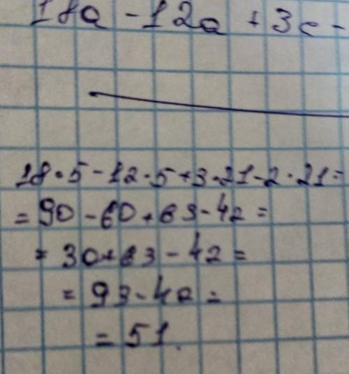
18•5-12•5+3•21-2•21=
1) 18•5=90
2)12•5=60
3)3•21=63
4)2•21=42
5)90-60=30
6)30+63=93
7)93-42=51
4,6(36 оценок)
Открыть все ответы
Ответ:
Училка2281337
Училка2281337
24.05.2021

Задание 1

Маленький и шустрый Меркурий

Задание 2

Названия газовых гигантов

Задание 3

Планета Земля - третья по счету от Солнца

Задание 4

1-2 2-3 3-1

Задание 5

На какие группы делят Планеты Солничной системы?

Задание 6

Космос 1, Карта земли 2, Луна от земли 3

Задание 7

Массой и размером Венера похожа на Землю, но жизнь сдесь невозможна

Задание 8

Ни на одной планета земной группы невозможна

Задание 9

Лунные кратеры

не плагиатьте долго делал

Все правильно, дружище не беспокойся

Было сделано мной из вопроса

4,5(74 оценок)
Ответ:

Основные свойства равносильности неравенств

Свойство 1. Если к обеем частям неравенства прибавить одно и то же выражение, определенное на ОДЗ исходного неравенства, то получиться неравенство, равносильное данному неравенству.

Свойство 2. Если обе части неравенства умножить или разделить на одно и то же выражение, большее нуля, определенное на ОДЗ исходного неравенства, то получиться неравенство, равносильное данному неравенству.

Свойство 3. Если обе части неравенства умножить или разделить на одно и то же выражение, меньшее нуля, определенное на ОДЗ исходного неравенства,а затем поменять знак неравенства на противоположный, то получиться неравенство, равносильное данному неравенству.

4,7(84 оценок)
Это интересно:
Новые ответы от MOGZ: Математика
logo
Вход Регистрация
Что ты хочешь узнать?
Спроси Mozg
Открыть лучший ответ