1-я группа: 19, 47, 59
2-я группа: 28, 36, 61
3-я группа: 25, 37, 63
4-я группа: 15, 31, 79
Пошаговое объяснение:
Даны числа:
25, 59, 36, 31, 63, 37, 79, 19, 28, 15, 47, 61.
Для удобства перепишем их в порядке возрастания:
15, 19, 25, 28, 31, 36, 37, 47, 59, 61, 63, 79
Возьмем последние 4 числа 59, 61, 63, 79.
Очевидно, что если любые два из них сложить друг с другом (например 59 + 61 = 120), то их сумма будет слишком большой, чтобы добавить к ним третье и получить 125.
Следовательно, каждое из этих чисел послужит основой для каждой из 4х троек чисел.
1) 59. До 125 не хватает 125-59 = 66
66 = 47 + 19, других подходящих пар нет
Значит, 1 группа: 19, 47, 59
2) 61. До 125 не хватает 125-61 = 64
64 = 36 + 28, других подходящих пар нет
Значит, 2 группа: 28, 36, 61
3) 63. До 125 не хватает 125-63 = 62
62 = 37 + 25, других подходящих пар нет
Значит, 3 группа: 25, 37, 63
4) 79. До 125 не хватает 125-79 = 46
46 = 15 + 31, других подходящих пар нет
Значит, 4 группа: 15, 31, 79
1 задача-520:100*6=31,2 кг олова в сплаве = 100-47=53% вспахали за вторую неделю 4830:100*53=2559,9 га вспахали за вторую неделю
2 задача-42/21*100= 200 человек.
ответ: В районной олимпиаде по математике всего участвовало двести человек.
3 задача-Пусть 480 га это 100%.
1. Найдем сколько гектаров приходится на 1%.
480 / 100 = 4,8 (га) приходится на 1%.
2. Найдем сколько вспахала бригада за первый день, для этого умножим количество приходящиеся на 1% на число процентов за первый день.
4,8 * 45 = 216 (га) вспахала бригада в первый день.
3. Найдем сколько гектаров вспахала бригада за второй день, для этого из общей площади вычтем площадь вспаханного в первый день.
480 - 216 = 264 (га) вспахано за второй день.
ответ: 264 га.
4 задача-100-34-30=36% в третий день
108/36=3 чел-один процент
3*100=300чел всего
Пошаговое объяснение:
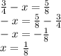
1/8
Пошаговое объяснение:
уравнение: